编辑自定义展开表达式的步骤

使用自定义表达式可以准确指定:您希望如何表明折叠钣金零件模型中折弯区域的展平。

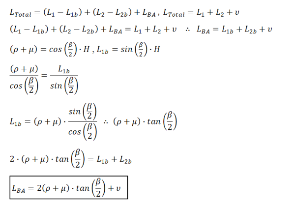
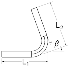
钣金零件是按照其折叠或功能状态定义的,但是由平板制造而成的。展开以形成展开模式的折弯在折弯区域内将改变材料的形状。变形量取决于一些变量。将折叠的模型变形为展平状态,需要使用以下三种方法之一来估算此变形:

自定义表达式是在指定的展开规则中定义的,该规则是使用“样式和标准编辑器”对话框定义的。

折弯补偿类型

可以使用折弯补偿表达式确定总展开长度:

其中:
  • 。为总展开长度。
  • 。为从第一个局部面到轮廓延伸交线的长度。
  • 。为从第二个局部面到轮廓延伸交线的长度。
  • 。为折弯余量计算的结果。Inventor 将使用以下表达式计算折弯余量。对于角度情况(其中 ),Inventor 将使用表达式 ,其中:
    • 。为折弯角度。
    • 。为折弯余量长度。
    • 。为折弯板折弯半径。
    • 。为钣金厚度。
    • 。为折弯余量计算的结果。

扩展原始的表达式以将折弯余量计算结果包括在:

对于角度情况(其中 ),将使用以下表达式:

扩展原始的表达式以将折弯余量计算结果包括在:

一旦确定了折弯余量,便可使用以下表达式推导 K 系数:

折弯扣除类型

使用折弯扣除表达式确定总展开长度:

其中:
  • 。为总展开长度。
  • 。为从第一个局部面到轮廓延伸交线的长度。
  • 。为从第二个局部面到轮廓延伸交线的长度。
  • 。为折弯余量计算的结果。

折弯扣除表达式提供了与折弯补偿方法正好相反的计算方法。

对于折弯扣除,Inventor 将使用以下表达式计算折弯余量。

对于角度情况:

表达式为 ,其中:
  • 。为折弯角度。
  • 。为折弯余量长度。
  • 。为折弯板折弯半径。
  • 。为钣金厚度。
  • 。为折弯余量计算的结果。

对于角度情况(其中 ),使用的表达式为:

折弯余量类型

使用折弯余量表达式 确定总展开长度,其中:
  • 。为总展开长度。
  • 。为第一个折弯板的长度。
  • 。为第二个折弯板的长度。
  • 。为折弯余量计算的结果。

会提供一个定义的表达式来直接求解折弯余量。K 系数可以从以下表达式推出:

K 系数类型

使用 K 系数方法确定总展开长度时使用以下表达式:

其中:
  • 。为总展开长度。
  • 。为第一个折弯板的长度。
  • 。为第二个折弯板的长度。
  • 。为折弯余量计算的结果。

可以使用下面的公式计算折弯补偿:

编辑自定义展开表达式

您可以在编辑命名展开规则时定义四种类型的自定义表达式。

在“样式和标准编辑器”对话框中选择的表达式类型可确定用于定义表达式左侧的变量。“表达式编辑”对话框上的字符插入键提供了一次单击即可插入以下多个值的功能:角度、半径、厚度和 Pi。

在打开“表达式编辑器”对话框之前,通过在“样式和标准编辑器”对话框中选择“表达式类型”,来定义变量类型。

  1. 在“样式和标准编辑器”对话框中,当选择的“展开方式”为“自定义表达式”时,双击位于要定义自定义表达式的范围条件左侧的“自定义表达式”单元。
  2. 在“表达式编辑”对话框中,输入用于在表达式输入框外部显示的变量的表达式:
    • 。向自定义展开表达式中插入测量的角度变量。
    • 。向自定义展开表达式中插入测量的内径。
    • 。向自定义展开表达式中插入测量的厚度变量。
    • 。向自定义展开表达式中插入 Pi 的数学值。
    • 表达式输入字段接受键盘输入来定义自定义展开表达式。
  3. (可选)若要更改自定义表达式要求解的变量类型,请单击“取消”,然后在“样式和标准编辑器”对话框中选择正确的表达式类型。

编辑自定义展开表达式范围条件

可以通过使用“围选编辑”对话框指定范围条件,为角度、半径或厚度范围定义展开表达式。

  1. 当“自定义表达式”是在“样式和标准编辑器”对话框中选择的“展开方式”时,请在要为其定义范围条件的自定义表达式右侧双击“范围条件”单元。
  2. 在“围选编辑”对话框下拉列表的上部行中,选择等号运算符和范围类型,以创建指定角度、厚度或半径范围的表达式。
  3. 在下部行中左侧和右侧的框中,输入范围条件的限值。