英制单位的分离轮毂计算公式

接触压力

最小轮毂长度

建议值:L = (0.6 - 3) d

单个螺栓承受的力

强度校核

p p A

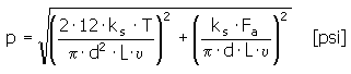
其中:

 

F a

轴向力 [lb]

 

T

转矩 [lb ft]

 

d

轴直径 [in]

 

p

连接中的接触压力 [psi]

 

p A

许用压力 [psi]

 

L

轮毂长度 [in]

  υ

夹紧系数 υ = 0.008 至 0.1 [-]

 

k s

滑差安全系数 [-]

 

F

一个螺栓承载的力 [lb]

 

F s

所有螺栓承载的力 [lb]

 

i

螺栓总数 [-]