纤维取向 - ARD_RSC 模型参数对话框

此对话框用于为长纤维的 ARD-RSC 模型指定值。

要访问此对话框,请将“纤维取向计算依据”下拉菜单设置为“长纤维的 ARD-RSC 模型”,然后单击“编辑设置...”

小插件 解释
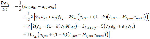
降低的应变闭合因子 - 正交各向异性闭合 也称为 RSC,这是以下方程中的系数 k:

属于各向异性旋转扩散模型

b1..b5 参数 b1..b5 参数会影响各向异性旋转扩散模型的后续方程,其中旋转扩散张量 的二次函数,定义为: