3D 一般收縮模型
此模型近似使用下列公式的線性收縮:
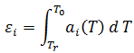
其中,
是
i-th
主方向上溫度為
T
時的線性熱膨脹係數 (CTE)。使用特殊調整過 PVT 的方法,考慮與溫度相關的 CTE
i
。
T
0
是局部母模仁壓力達到大氣條件時的溫度。此值從流動模擬中取得。
T
r
為室溫。
本節主題
選取一般收縮模型
在引入 3D 未修正的殘留應力模型之前,一直都是使用一般收縮模型。
上層主題:
3D 模型的收縮預測方法