針對精確的微晶片封裝晶墊偏移分析,必須考慮穿過導線架開口的流向橫斷面。
晶墊偏移是由導線架上層與下層母模仁之間的壓力差所造成的。若要準確計算壓力差,您必須為流向橫斷面塑型。
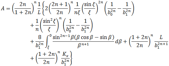
針對典型 QFP 晶片,導線架中的開口存在於晶片的轉角處、側面及周圍,如下圖 1 所示。使用 Hele-Shaw 逼近針對充填與保壓分析為開口塑型時,我們必須考慮在開口上與流關聯的接點壓力損失。由於接點壓力損失,已塑型開口的大小與實際開口的大小將會有所不同。若要計算要在模型中使用的開口大小 (厚度),請使用以下方程式。
其中,
和
(當
)
(當
)
(當
)
其中:
為
是冪定律指數,
是開口寬度的一半,
是實體區域之間距離的一半,
是要在模型中使用之開口寬度的一半。 模型中開口的長度可做為導線架的厚度使用。針對晶片的周圍 (如下圖 1 所示),
可以假定為
的一半,而
則為導線架的厚度。當
=0.74 時,
= 1.2041,
= 0.2501,
= 0.903。
、
與
的值只是很小程度上取決於
,因此這些值可以用於
的其他值。若要取得近似值,可以將
看做
。可透過以下方程式計算出方程式 2 中積分項的近似值:
在某些區域中有太多開口要在模擬中塑型。例如,在側面區域中可能有數十個開口。以下方程式可用來將相同大小的
個開口合併為一個,並確定一個開口的大小:
關於母模仁的厚度,我們可以使用一側的厚度來塑型。但是,針對較大開口 (位於晶片的周圍),請使用兩個母模仁合併的厚度。在模型中可以忽略金線。
為母模仁塑型的另一種方法如下所述。會將位於晶片周圍大開口區域的厚度塑型為母模仁一側的厚度。但是,此區域的形狀係數為 0.5。其他區域的形狀係數為 1。
圖 1 展示了晶片母模仁模型範例。在此模型中,有上層與下層母模仁,以及連接上下兩層母模仁的母模仁。上層與下層母模仁由 L (導線架的厚度) 分隔。

以流向橫斷面元素對母模仁進行塑型的一個範例
其中:
= 上層母模仁
= 流向橫斷面元素
= 下層母模仁