纖維配向 - ARD_RSC 模型參數對話方塊

此對話方塊用來指定長纖維的 ARD-RSC 模型的值。

若要存取此對話方塊,請將「纖維配向計算方式」下拉式功能表設定為「長纖維的 ARD-RSC 模型」,然後按一下「編輯設定...」

工具集 說明
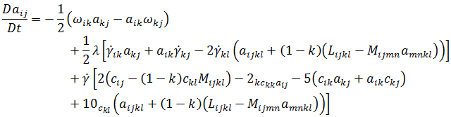
減少應變閉合係數 - 正向性閉合 也稱為 RSC,這是在下列方程式中的係數 k:

(非等向性旋轉擴散模型)

b1..b5 參數 非等向性旋轉擴散模型的下列方程式中會有 b1..b5 參數,其中旋轉擴散張量 假設為 的二次函數,定義為: