Überprüfen Sie die Ausfallkriterien für gewebte Verbundwerkstoffe.
Wie bereits erwähnt, wird für gewebte Verbundwerkstoffe und unidirektionale Verbundwerkstoffe das gleiche Ausfallkriterium verwendet. Die endgültigen Verbundwerkstofffestigkeiten +
, -
und
werden verwendet, um die Faserausfallkoeffizienten direkt zu berechnen.
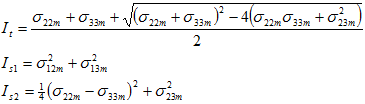
Da das unten gezeigte Matrixausfallkriterium für gewebte Verbundwerkstoffe nur drei Koeffizienten enthält, sind nur drei Festigkeitswerte erforderlich. Die Kniestärken, die den endgültigen Festigkeiten +
, -
und
entsprechen, werden zur direkten Berechnung dieser Koeffizienten verwendet.
wobei