| 
 
  | 
 Für jede Riemenscheibe gilt Folgendes:  | 
| 
 F 2 - F 1 + F p = 0  | 
|
| 
 
  | 
|
| 
 
  | 
|
| 
 
  | 
Für die antreibende Riemenscheibe gilt Folgendes:
| 
 
  | 
 v ≤ v max  | 
| 
 
  | 
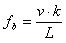
 f b ≤ f max  | 
F c = mv 2
F Tmax = k 1 F p + F c
F 1 = F tmax
F 2 = F 1 - F p
Für einzelne angetriebene Riemenscheiben und Spannrollen gilt Folgendes:
i - Index der Riemenscheibe
F Pi = P xi F p
F 1i = F 2i-1
F 2i = F 1i + F p i
Dabei gilt:
 
 für synchrone Rolle 
 
 für Scheibe 
Für das gesamte Riemengetriebe
Die erforderliche Riemenspannung bei Installation wird wie folgt aus Kräften abgeleitet, die auf die Riemenscheibe wirken:
Beispiel einer Leistungsübertragung mit Spannrolle
| 
 Antreibende Riemenscheibe  | 
 Spannrolle  | 
 Angetriebene Riemenscheibe  | 
| 
 P x1 = 1  | 
 P x2 = 0  | 
 P x3 = 1  | 
| 
 
  | 
 
  | 
 F P3 = P x3 F p  | 
| 
 
  | 
 
  | 
 
  | 
| 
 
  | 
 
  | 
 
  | 
| 
 
  | 
 F 12 = F 21  | 
 
  | 
| 
 
  | 
 F 22 = F 12 + F p2 = F 12  | 
 
  | 
| 
 F c = m v 2  | 
 
  | 
 
  | 
| 
 F Tmax = k 1 F p + F C  | 
 -  | 
 F 13 = F 22  | 
| 
 F 11 = F Tmax  | 
 -  | 
 F 23 = F 13 + F p3 = F 11  | 
| 
 F 21 = F 11 - F p  | 
 -  | 
 
  | 
| 
 
  | 
 -  | 
 -  | 
Bedeutung der verwendeten Variablen:
| 
 F p  | 
 Riemenzugkraft [N]  | 
| 
 F 1  | 
 Riemenspannung an der Eingabeseite der jeweiligen Riemenscheibe [N]  | 
| 
 F 2  | 
 Riemenspannung an der Ausgabeseite der jeweiligen Riemenscheibe [N]  | 
| 
 Z  | 
 Anzahl der Zähne der jeweiligen Riemenscheibe / Anzahl der Riemenzähne [-]  | 
| β | 
 Umspannungswinkel / Winkel der Zahnschräge [°]  | 
| 
 P  | 
 Zu übertragende Leistung [W]  | 
| 
 P R  | 
 Riemennennleistung für das jeweilige Getriebelayout [W]  | 
| 
 c L  | 
 Gebrauchsdauerkoeffizient [-]  | 
| β | 
 Umspannungswinkel [°]  | 
| 
 T  | 
 Auf die jeweilige Riemenscheibe einwirkendes Drehmoment [Nm]  | 
| 
 n  | 
 Geschwindigkeit der jeweiligen Riemenscheibe [U/min]  | 
| 
 D p  | 
 Teilkreisdurchmesser der Riemenscheibe [m]  | 
| 
 v  | 
 Riemengeschwindigkeit [m/s]  | 
| 
 k  | 
 Anzahl der Riemenscheiben im Riemengetriebe [-]  | 
| 
 L  | 
 Teilriemenlänge [m]  | 
| 
 P  | 
 Zu übertragende Leistung [W]  | 
| 
 m  | 
 Spezifisches Riemengewicht für die jeweilige Breite [kg/m]  | 
| 
 k 1  | 
 Zugkoeffizient des Riemens [-]  | 
| 
 F p  | 
 Riemenzugkraft [N]  | 
| 
 F c  | 
 Zentrifugalkraft [N]  | 
| 
 F t  | 
 Minimaler Riemeninstallationszug [N]  | 
| 
 P xi  | 
 Leistungsverhältnis der jeweiligen Riemenscheibe [-]  | 
| 
 D pi  | 
 Teilkreisdurchmesser der Riemenscheibe [m]  | 
| 
 i  | 
 Übertragungsverhältnis (Geschwindigkeitsverhältnis) der jeweiligen Riemenscheibe [-]  | 
| 
 T i  | 
 Auf die jeweilige Riemenscheibe einwirkendes Drehmoment [Nm]  | 
| η | 
 Wirkungsgrad [-]  | 
| 
 p b  | 
 Zahnkreisteilung [m]  | 
| 
 D  | 
 Nenndurchmesser der flachen Riemenscheibe [m]  | 
| 
 H  | 
 Riemenhöhe [m]  | 
| 
 h T  | 
 Riemenzahnhöhe [m]  | 
| 
 a  | 
 Teillinienversatz [m]  |