So bearbeiten Sie benutzerdefinierte Abwicklungsgleichungen

Verwenden Sie benutzerdefinierte Gleichungen, um anzugeben, wie die Abwicklung von Biegezonen in gefalteten Blechbauteilmodellen umgesetzt werden soll.

Blechbauteile werden anhand ihres Faltungs- oder Funktionsstatus definiert, werden jedoch aus einem flachen Blech hergestellt. Durch die Biegungen, die zum Erstellen der Abwicklung abgewickelt werden, wird das Material innerhalb der Biegezone verformt. Der Umfang der Verformung hängt von verschiedenen Variablen ab. Bei der Umwandlung des gefalteten Modells in den abgewickelten Zustand muss die Verformung mithilfe einer der folgenden drei Methoden berücksichtigt werden:

Benutzerdefinierte Gleichungen werden innerhalb einer benannten Abwicklungsregel definiert, die im Dialogfeld Stil- und Normen-Editor festgelegt wird.

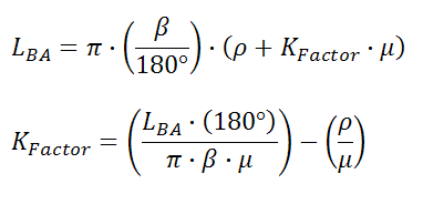
Biegungsausgleich

Verwenden Sie die Gleichung für den Biegungsausgleich, um die abgewickelte Gesamtlänge zu ermitteln:

Dabei gilt:
  • . ist die abgewickelte Gesamtlänge.
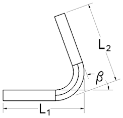
  • . ist die Länge von der ersten Detailfläche bis zur virtuellen Schnittebenenlinie.
  • . ist die Länge von der zweiten Detailfläche bis zur virtuellen Schnittebenenlinie.
  • . ist das Ergebnis der Biegetoleranzberechnung. Die Biegetoleranz wird in Inventor mithilfe der folgenden Gleichungen berechnet. Im Falle von Winkeln mit verwendet Inventor die Gleichung . Hierbei gilt:
    • . ist der Biegungswinkel.
    • . ist die Länge der Biegetoleranz.
    • . ist der Innenradius der Biegefläche.
    • . ist die Blechstärke.
    • . ist das Ergebnis der Biegetoleranzberechnung.

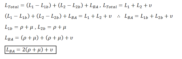
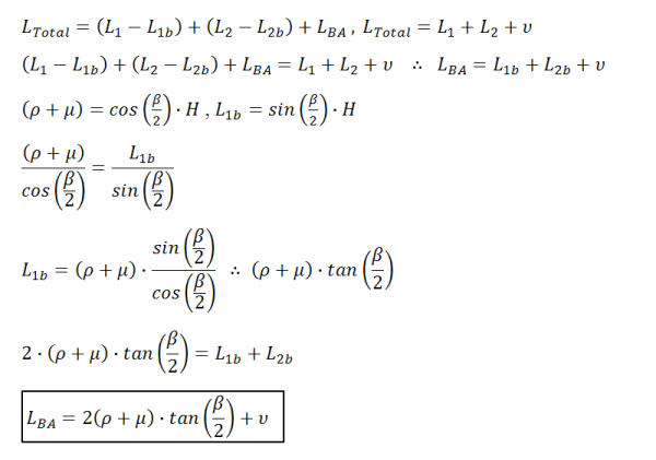
Wenn Sie die ursprüngliche Gleichung erweitern, um die Ergebnisse der Biegetoleranzberechnung einzuschließen, hat dies folgende Auswirkungen:

Im Falle von Winkeln mit wird die folgende Gleichung verwendet:

Wenn Sie die ursprüngliche Gleichung erweitern, um die Ergebnisse der Biegetoleranzberechnung einzuschließen, hat dies folgende Auswirkungen:

Nachdem die Biegetoleranz ermittelt ist, kann der KFaktor wie folgt abgeleitet werden:

Biegungsabzug

Verwenden Sie die Gleichung für den Biegungsabzug, um die abgewickelte Gesamtlänge zu ermitteln:

Dabei gilt:
  • . ist die abgewickelte Gesamtlänge.
  • . ist die Länge von der ersten Detailfläche bis zur virtuellen Schnittebenenlinie.
  • . ist die Länge von der zweiten Detailfläche bis zur virtuellen Schnittebenenlinie.
  • . ist das Ergebnis der Biegetoleranzberechnung.

Die Gleichung für den Biegungsabzug stellt eine Berechnungsmethode dar, die das genaue Gegenteil der Methode Biegungsausgleich ist.

Für den Biegungsabzug berechnet Inventor mithilfe der folgenden Gleichungen eine Biegetoleranz.

Für Winkel:

Die Gleichung lautet ; dabei gilt:
  • . ist der Biegungswinkel.
  • . ist die Länge der Biegetoleranz.
  • . ist der Innenradius der Biegefläche.
  • . ist die Blechstärke.
  • . ist das Ergebnis der Biegetoleranzberechnung.

Im Falle von Winkeln mit wird folgende Gleichung verwendet:

Biegetoleranz

Verwenden Sie die Gleichung für die Biegetoleranz , um die abgewickelte Gesamtlänge zu ermitteln. Dabei gilt:
  • . ist die abgewickelte Gesamtlänge.
  • . ist die Länge der ersten Biegefläche.
  • . ist die Länge der zweiten Biegefläche.
  • . ist das Ergebnis der Biegetoleranzberechnung.

Es wird eine definierte Gleichung zur direkten Auflösung der Biegetoleranz bereitgestellt. Der KFaktor kann anhand der folgenden Gleichung abgeleitet werden:

KFaktor

Beim Ermitteln der abgewickelten Gesamtlänge mithilfe des KFaktors wird die folgende Gleichung verwendet:

Dabei gilt:
  • . ist die abgewickelte Gesamtlänge.
  • . ist die Länge der ersten Biegefläche.
  • . ist die Länge der zweiten Biegefläche.
  • . ist das Ergebnis der Biegetoleranzberechnung.

Die Biegungszugabe wird mithilfe der folgenden Gleichung ermittelt:

Bearbeiten benutzerdefinierter Abwicklungsgleichungen

Bei der Bearbeitung einer benannten Abwicklungsregel können Sie vier Arten von benutzerdefinierten Gleichungen festlegen.

Der im Stil- und Normen-Editor ausgewählte Gleichungstyp bestimmt, welche Variable die linke Seite der Gleichung definiert. Die Tasten zur Zeicheneingabe im Dialogfeld Gleichung bearbeiten ermöglichen die Eingabe eines Winkels, eines Radius, einer Stärke und der Zahl Pi mit nur einem Mausklick.

Der Variablentyp wird durch den Gleichungstyp definiert, der im Dialogfeld Stil- und Normen-Editor vor dem Öffnen des Gleichungs-Editors ausgewählt wurde.

  1. Achten Sie darauf, dass die Abwicklungsmethode Benutzerdefinierte Gleichung ausgewählt ist, und doppelklicken Sie im Dialogfeld Stil- und Normen-Editor auf die Zelle Benutzerdefinierte Gleichung links neben der Begrenzungsbedingung, für die Sie eine benutzerdefinierte Gleichung definieren möchten.
  2. Geben Sie im Dialogfeld Gleichung bearbeiten die Gleichung ein, die die außerhalb des Eingabefelds für die Gleichung dargestellte Variable definiert:
    • . Fügt eine Variable für einen gemessenen Winkel in eine benutzerdefinierte Abwicklungsgleichung ein.
    • . Fügt eine Variable für einen gemessenen Innenradius in eine benutzerdefinierte Abwicklungsgleichung ein.
    • . Fügt eine Variable für eine gemessene Stärke in eine benutzerdefinierte Abwicklungsgleichung ein.
    • . Fügt den mathematischen Wert der Zahl Pi in eine benutzerdefinierte Abwicklungsgleichung ein.
    • Im Eingabefeld für die Gleichung können Tastatureingaben vorgenommen werden, um eine benutzerdefinierte Abwicklungsgleichung zu definieren.
  3. (Optional) Klicken Sie zum Ändern des Variablentyps für die benutzerdefinierte Gleichung auf Abbrechen, und wählen Sie im Dialogfeld Stil- und Normen-Editor den korrekten Gleichungstyp aus.

Bearbeiten von Begrenzungsbedingungen für benutzerdefinierte Abwicklungsgleichungen

Sie können Abwicklungsgleichungen für Winkel-, Radius- oder Stärkebereiche definieren, indem Sie im Dialogfeld Begrenzung bearbeiten die entsprechenden Begrenzungsbedingungen angeben.

  1. Wählen Sie im Dialogfeld Stil- und Normen-Editor unter Abwicklungsmethode die Option Benutzerdefinierte Gleichung, und doppelklicken Sie rechts neben der benutzerdefinierten Gleichung, für die Sie eine Begrenzungsbedingung definieren möchten, auf die Zelle Begrenzungsbedingung.
  2. Wählen Sie im Dialogfeld Begrenzung bearbeiten in der oberen Zeile der Dropdown-Listen die Gleichheitsoperatoren und den Bereichstyp aus, um eine Gleichung zu erstellen, die den Bereich für Winkel, Stärke oder Radius festlegt.
  3. Geben Sie in den unteren Zeilen in die Felder auf der linken und der rechten Seite Werte für die Limits der Begrenzungsbedingung ein.