Geteilte Nabe - Formeln für die Berechnung in englischen Einheiten

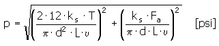
Kontaktdruck

Minimale Nabenlänge

Empfohlene Werte: L = (0.6 - 3) d

Kraft an einer Schraube

Festigkeitskontrolle

p p A

Dabei gilt:

 

F a

Axialkraft [lb]

 

T

Drehmoment [lb ft]

 

d

Wellendurchmesser [in]

 

p

Kontaktdruck an der Verbindung [psi]

 

p A

Zulässiger Druck [psi]

 

L

Nabenlänge [in]

  υ

Klemmungskoeffizient υ = 0.008 bis 0.1 [-]

 

k s

Schlupfsicherheit [-]

 

F

Kraft an einer Schraube [lb]

 

F s

Kraft an allen Schrauben [lb]

 

i

Gesamtzahl der Schrauben [-]