Sutherland

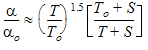
Die folgende Gleichung beschreibt die Sutherland-Eigenschaftenvariation:

Erwägungen zur Referenztemperatur

Die Referenztemperatur in der Sutherland-Formel ist materialspezifisch. So hat z. B. Luft eine andere Referenztemperatur als Stickstoff. Beim Definieren von benutzerdefinierten Materialien, für die die Sutherland-Variation verwendet wird, muss der Wert der Referenztemperatur bekannt sein. Der Grund dafür besteht darin, dass die Umgebungstemperatur (als Teil der Umgebung des Materials oder Szenarios festgelegt) als Referenztemperatur in der Eigenschaftsdefinition herangezogen wird.

Die materialspezifische Referenztemperatur muss als Umgebungstemperatur vorgegeben werden. (Wenn z. B. die bekannte materialspezifische Referenztemperatur 10 °C beträgt, geben Sie 10 °C als Temperatur im Dialogfeld Umgebung an.) Wird ein anderer Wert als Umgebungstemperatur angegeben, fällt die resultierende Eigenschaftenvariation inkorrekt aus.

"Konstant" oder "Variabel" im Dialogfeld "Umgebung"

Bei Auswahl von Konstant im Dialogfeld Umgebung entspricht der durch das Potenzgesetz definierte Wert der Eigenschaft (Viskosität, Leitfähigkeit oder Dichte) immer dem im Materialeditor angegebenen Referenzwert. Im Gegensatz zu den anderen Eigenschaftenvariationsmethoden aktualisiert die Sutherland-Methode den Eigenschaftenwert nicht entsprechend den vorgegebenen Umgebungsbedingungen, wenn Konstant ausgewählt ist.

Bei Auswahl von Variabel wird der Eigenschaftenwert auf Grundlage der Umgebungsbedingungen im Ergebnisfeld aktualisiert.

Material-QuickInfo

Der angezeigte Wert einer durch die Sutherland-Methode definierten Eigenschaft entspricht, unabhängig von den Umgebungsbedingungen, immer dem Referenzwert der Eigenschaft. Wenn das Material auf Konstant eingestellt ist, wird dieser Wert im gesamten Modell verwendet. Wenn das Material auf Variabel eingestellt ist, wird die Eigenschaft auf Grundlage der Feldtemperaturwerte aktualisiert.