Massed Particle Traces

By default, particle traces are the path a particle without mass would take when released into the flow. A more physically real visualization technique is to include the effects of mass on the particle. The resulting trace behaves more like a physical substance within a flow system.

Inertial and drag effects are taken into account, and if a particle has too much inertia to turn a corner, it will hit the wall. Massed particles will bounce when they strike a wall or a symmetry surface. The coefficient of restitution can be specified to control the amount of bounce in a collision.

There are several settings that provide a great deal of flexibility for the visualization of massed particles. The most basic is the ability to select the particle density and particle radius. Other settings include a user-prescribed initial path, the inclusion of gravity, and a customizable drag correlation.

These features are located in the Mass dialog. Open this dialog by clicking the Mass button on the Particle Trace task dialog. Begin by checking Enable mass.

Massed particle traces are only drawn forward, not backward, so it is best to position the seed points near the inlet of the geometry.

Required Quantities and Units

Enter the Particle Density and Particle Radius, and select the desired units for both quantities. The default density is the fluid density, and the default radius is based on the bounding box of the model.

Note: Particle Radius values must be between 1e-12 and (the longest dimension of the part bounding box)/5. If you specify values outside of this range, the Particle Radius resets to the default value.

Coefficient of Restitution

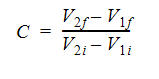
This coefficient of restitution is a measure of the amount of bounce between two objects. Specifically, it is the ratio of the velocities of the objects before and after an impact, and can be described mathematically as:

For massed particles, the other object is a static wall, so this equation reduces to:

The coefficient of restitution can range between 0.01 and 1:

An example massed particles with a Coefficient of Restitution value of 0.01:

An example massed particles with a Coefficient of Restitution value of 1:

Initial Path

Specify an initial velocity and direction for the trace by checking Set Initial Velocity.

This allows the visualization of the interaction between the flow and a particle injection with a known velocity and trajectory. An example is an aerosol injection of particles into a flow stream.

Gravity

Include the effects of body forces on particle traces by checking the Enable Gravity for massed particles.

Enter the components of the force in the X, Y, and Z boxes.

For Earth’s gravity, check the Earth box, and enter a unit vector to indicate the direction in which gravity acts.

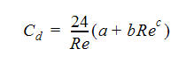
Modifiable Drag Correlation

The drag correlation used for massed particles is given as:

Modify the coefficients a, b, and c to change the drag as appropriate.

Erosion

Eine der Hauptursachen des Geräteversagens in Umgebungen mit starken Strömungen ist die Oberflächenerosion aufgrund des Auftreffens von Fluidströmungen, die eine hohe Geschwindigkeit aufweisen. Erkenntnisse hinsichtlich der Bereiche, in denen eine Erosion auftreten kann, sind wichtig für das Erzielen einer besseren Haltbarkeit und längeren Lebensdauer.

Verunreinigungen wie Sand, Quarz und Flugasche verursachen bei Umlauf und Aufprall auf Ventile und andere Systemkomponenten eine Materialerosion. In der Öl- und Gasindustrie wird diese duktile Erosion basierend auf "Netzgröße" des Partikels ermittelt. Die Netzgröße entspricht der maximalen Partikelgröße, die wahrscheinlich im System anzutreffen ist. Dieses Phänomen wird auch als "Auswaschen" bezeichnet.

Autodesk® CFD berechnet die Erosion mittels Lagrange-Partikelspuren und Edwards-Modell. Es wird eine niedrige Partikelkonzentration angenommen (keine Anwendung des Slurry-Erosionsmodells), und Ergebnisse werden als skalare Ergebnisgröße dargestellt. Dieses Verfahren ermöglicht einen Designvergleich und führt zu brauchbaren Erosionsprognosen.

Das Erosionsmodell berechnet anhand der Aufprallwinkel- und Brinell-Materialhärte-Daten die Materialmenge, die durch die Fluidströmung abgetragen wird. Dieser Ansatz ermöglicht eine quantitative Identifizierung von Bereichen, die einer Erosion ausgesetzt sind. Das Modell illustriert die Beziehung von Strömungs- und Erosionstrend und ermöglicht eine Reduzierung der Erosion durch Designverbesserungen.

For more about computing erosion...

Time Step Size

As a particle passes through elements, the drag calculations are based on the local velocity field from one time step to the next. The velocity acting on the particle is computed using geometric weighting based on the velocity values at the node vertices of the element where the particle is currently traveling though. The distance that the particle travels in a time step is equal to its velocity multiplied by the time step size.

If the time step size is too large, the particle may travel through several elements in a single time step. This yields a coarse approximation to the actual motion, since the velocity fields within some of the intermediate elements that the particle passed through were not considered. The most accurate path will be computed when the time step size is approximately equal to the time required for the particle to pass through a single element. If the particle passes though a single element in a time step, then the local velocity field and drag estimates consider all the elements along the path. This yields the best accuracy.

It is good practice to reduce the time step size until the particle path is un-affected by reducing the time step size further.