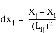
The change in coordinates for each observation is expressed in the following Taylor series approximations of the whole circle bearing/quadrant bearing observation equation:


and


where
The following illustration shows the geometry of the whole circle bearing/quadrant bearing observation equation:
