Working with Moldflow

Review the requirements for working with Moldflow models in Advanced Material Exchange.

Moldflow Model Requirements
  Moldflow
Supported Versions Insight 2016, 2017, 2018, 2019
Mesh Type 3D or Mid-plane elements
Geometry Single parts
Must Contain Fill + Pack analysis sequence

Moldflow Analysis Types

Advanced Material Exchange supports both injection-molded and injection-compression molded parts from Moldflow.

Moldflow Results Files

When importing Moldflow study files into Advanced Material Exchange, you must make sure the additional Moldflow results files referenced by the study (*.sdy) file are present in the same directory. For models that include a weld surface strength analysis, you must have the following results files:

For models that do not include a weld surface strength analysis, the *.ws3 file is not required.

Moldflow Fiber Model

Moldflow offers a number of fiber orientation prediction models. By default, the Moldflow Rotational Diffusion (MRD) model is used. The MRD, available in Moldflow 2017 R2 or later, is the recommended model for use with Advanced Material Exchange.

Filled vs. Unfilled Materials

Advanced Material Exchange supports both filled and unfilled plastics. For filled plastics where the aspect ratio of the filler is > 1, the material behavior is highly dependent on the fiber orientations. If the aspect ratio of the filler = 1 (a sphere), the material is considered unfilled. Examples include talc or other mineral fillers. Advanced Material Exchange also supports materials with multiple fillers, where the second filler has an aspect ratio of 1.

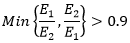
Unfilled materials are almost always isotropic. However, there are cases where an unfilled material can behave in an anisotropic fashion. If the following criteria is met, Advanced Material Exchange considers the unfilled material isotropic.

Where E1 and E2 are the Elastic Moduli in the 1 and 2 directions, respectively. If the unfilled material meets this criteria, the Elastic Modulus and Poisson Ratio are calculated as follows:

Brittle vs. Ductile Materials

Advanced Material Exchange is designed to handle materials that are primarily brittle in nature. Generally speaking, brittle materials fracture at low strains and without any visible warning (i.e. necking). Brittle materials can still exhibit material softening before failing, but once the failure initiates, the catastrophic failure of the structure follows close behind.

Ductile materials are those that exhibit a large, elongated stress-strain curve (large strains at failure). The plot below shows an example of a ductile material response.

The material model used in Advanced Material Exchange works best for materials that experience failure at relatively low strain. Very ductile materials will not be represented well using the existing material model. Advanced Material Exchange does not consider the region beyond the ultimate stress during the material characterization. This is shown as the shaded region in the plot above.

Layer Control for Models with Multiple Sections

Advanced Material Exchange does not allow you to import a mid-plane model from Moldflow that contains multiple active sections or layers of varying thicknesses. However, you can use the layer controls in Moldflow to handle models with varying thicknesses.

  1. Use Moldflow to turn off all layers except the one you wish to map too.
  2. Save the study.
  3. Import into Advanced Material Exchange.

This simple workaround lets you import more complex models into Advanced Material Exchange without making major modifications to the study. The same process can be used to remove runners and cooling lines that aren't necessary for Advanced Material Exchange.

An added benefit of turning on a single layer is that the automatic alignment feature in Advanced Material Exchange will work for every model, removing the need to use the interactive alignment tool.