Continuity equation

The continuity equation is used to calculate the flow rates in the channel network.

Important: The continuity equation is solved at each node, simultaneously with the work-energy equation at each element, and the temperature equation at each node, to satisfy the two principles of network solutions.

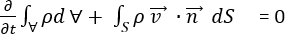
In general, the fluid density may vary in response to changes in fluid temperature and pressure. For a fixed control volume, , enclosed by a surface, S, a general statement of mass conservation is given by:

where is the velocity at a point, is an outer unit normal vector to the surface, S, and is time.

The first term represents the accumulation of mass in the control volume over time. For steady state flow, the first term

At a surface point, the dot product gives the component of the velocity which crosses the surface. Hence the second term gives the net outflow of fluid across the entire surface of the control volume.

Continuity equation

For steady state compressible flow of fluid in a pipe or duct the conservation of mass is referred to as the continuity principle, and can be written by the continuity equation as the product of the density, , of the fluid of mean velocity, V, at any cross sectional area, A, of the pipe or duct, or:

where is the mass discharge through the pipe or duct, and Q represents the volumetric flow rate in the pipe or duct.

The continuity equation needs to be satisfied on every node in the network.

Solving the continuity equation for each node

Referring to the coolant flow computational domain, the continuity equation can be expressed algebraically at each internal node by:

for i =1, ...Nodes, j =1....Branch elements

where = 0 for all internal nodes, and = the mass flux entering or leaving the network for a given boundary node. refers to the connectivity operator, (+) or (-), for the given branch of the node under consideration.