Cool is a true 3D mold cooling analysis product. It uses a numerical method developed from BEM (Boundary Element Method). From a physical point of view, BEM treats all boundaries as heat sources (gain / loss heat) during the solution.
The temperature in the mold is determined by combining the influence from all sources.
The equilibrium temperature field of a 3D mold can be represented by Laplace's equation:
is the temperature
is the Laplace operator
represents the surface area and the inside of the mold
, with boundary conditions unified as: 
is the thermal conductivity of the mold material
denotes the outward normal derivative on the mold boundary,
is the equivalent heat transfer coefficient on the mold boundary,
is the equivalent temperature of the ambient environment,
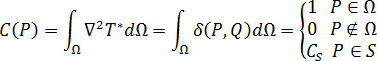
represents a specific point, and
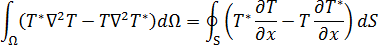
is the mold surface (boundary) To understand how BEM applies all boundary conditions to the solution of the mold temperature field, let us start with the weighted residual expression:
Where
is the weighting function.
By making use of Green's second identity, equation 3 can be transformed into the following form:
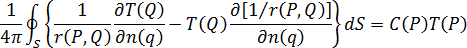
Choosing
as the fundamental solution of equation 1 defined by: 
where
is a Dirac delta function. For a 3D mold, this can be described as: 
and
are two points in the space, and
represents the distance between the two points, 
, and
is a constant in proportion to the interior solid angle.
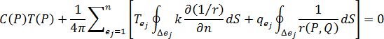
, into
elements, and assume the temperature and temperature gradient are constant over each boundary element, then equation 7 can be discretised into the following form:
is a specific element
is the thermal conductivity of the mold material
is the temperature of element
The temperature influence term (or so-called H term), which represents the influence strength of temperature on element
to point
, is given by the expression
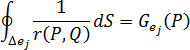
The heat flux influence term (or so-called G term), which represents the influence strength of heat flux input on element
to point
, is given by the expression
Suppose
is the centroid of element
. If we substitute
in equation 9 with
, then we can get
linear equations as: