Fiber Orientation - ARD_RSC Model Parameters Dialog

This dialog is used to specify values for the ARD-RSC model for long fibers.

To access this dialog, set the Fiber orientation calculation by drop-down menu to ARD-RSC model for long fibers, then click Edit settings....

Widget Explanation
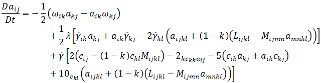
Reduced Strain closure factor- Orthotropic Closure Also called RSC, this is the coefficient k in:

of the Anisotropic Rotary Diffusion model

b1..b5 parameters b1..b5 parameters intervene in the follow equation of the Anisotropic Rotary Diffusion model , where the rotary diffusion tensor is assumed as a quadratic function of and and is defined as: