Function

For a given semi-axis always treated as positive (x>0), you can build a set of fi functions determined in the successive ranges separated by the characteristic points xi.

When defining the fi function for the given range (xi, xi+1), the following should be considered:

To designate an argument of functions created using expressions, the x or X symbol should be used. Expressions can be created using the following characters:

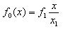
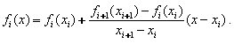
+, - , * , / , ^ (power),( ,) according to principles of mathematics. The inf expression determines a value equal to infinity for the function y(x). Incorrectly determined expressions (incorrect notation) will generate function values of zero. If the x argument is disregarded in an expression, it means that the expression assumes a constant value in a given range (if the expression has been determined using " "). If a constant expression is determined without " ", then its value will be assumed as the value of a function at the xi point, while values for x > xi will be linearly interpolated between the successive values of the function according to the formula:

When defining a hinge model by determining a function, remember that the quantities describing function parameters must be expressed in the base units of Robot, and they will not be recalculated once units are changed.