Edición de las ecuaciones de desplegado personalizadas

Utilice ecuaciones personalizadas para especificar exactamente cómo desea introducir el aplanamiento de las zonas de plegado en los modelos de pieza de chapa plegados.

A las piezas de chapa las define su estado de plegado o funcional, pero se fabrican a partir de una lámina plana. Los pliegues que se despliegan para formar el desarrollo deforman el material en la zona de plegado. La magnitud de la deformación depende de una serie de variables. Para cambiar el modelo plegado a un estado aplanado, es necesario incorporar esta deformación con uno de los tres métodos siguientes:

Las ecuaciones personalizadas se definen en una regla de desplegado guardada que se establece a través del cuadro de diálogo Editor de estilos y normas.

Tipo de compensación de pliegue

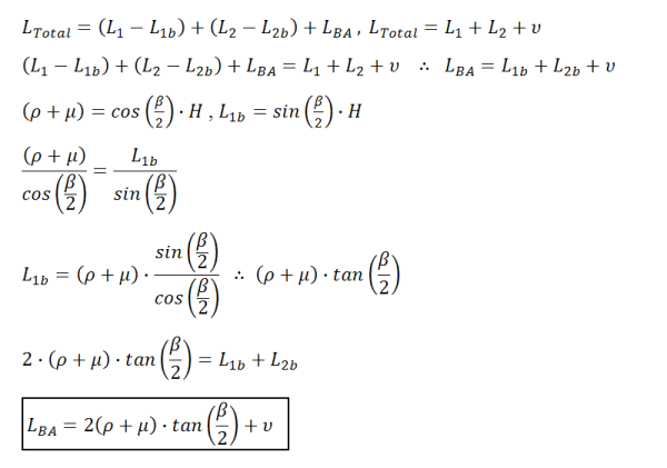
La ecuación de compensación de pliegue permite determinar la longitud total desarrollada:

donde:
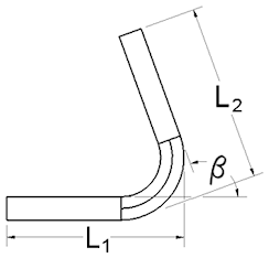
  • . Es la longitud total desarrollada.
  • . Es la longitud entre la primera cara detallada y el punto virtual.
  • . Es la longitud entre la segunda cara detallada y el punto virtual.
  • . Es el resultado del cálculo de la tolerancia de plegado. Inventor calcula la tolerancia de plegado a través de las siguientes ecuaciones. En los casos angulares, donde , Inventor utiliza la ecuación , donde:
    • . Es el ángulo de plegado.
    • . Es la longitud de la tolerancia de plegado.
    • . Es el radio interior de la placa de doblez.
    • . Es el grosor de la chapa.
    • . Es el resultado del cálculo de la tolerancia de plegado.

El resultado de la ampliación de la ecuación original para incluir el cálculo de la tolerancia de plegado es:

En los casos angulares donde , se utiliza la siguiente ecuación:

El resultado de la ampliación de la ecuación original para incluir el cálculo de la tolerancia de plegado es:

Una vez determinada la tolerancia de plegado, el FactorK se puede obtener a través de:

Tipo de deducción de pliegue

La ecuación de deducción de pliegue permite determinar la longitud total desarrollada:

donde:
  • . Es la longitud total desarrollada.
  • . Es la longitud entre la primera cara detallada y el punto virtual.
  • . Es la longitud entre la segunda cara detallada y el punto virtual.
  • . Es el resultado del cálculo de la tolerancia de plegado.

La ecuación de deducción de pliegue ofrece un método de cálculo que es el opuesto al de la compensación de pliegue.

Para las deducciones de pliegue, Inventor calcula una tolerancia de plegado usando las siguientes ecuaciones.

En los casos angulares:

la ecuación es , donde:
  • . Es el ángulo de plegado.
  • . Es la longitud de la tolerancia de plegado.
  • . Es el radio interior de la placa de doblez.
  • . Es el grosor de la chapa.
  • . Es el resultado del cálculo de la tolerancia de plegado.

En los casos angulares, donde , la ecuación utilizada es:

Tipo de tolerancia de plegado

La ecuación de tolerancia de plegado permite determinar la longitud total desarrollada, donde:
  • . Es la longitud total desarrollada.
  • . Es la longitud de la primera placa de doblez.
  • . Es la longitud de la segunda placa de doblez.
  • . Es el resultado del cálculo de la tolerancia de plegado.

Se incluye una ecuación definida para resolver directamente la tolerancia de plegado. El FactorK se puede obtener a partir de la siguiente ecuación:

Tipo de FactorK

Para determinar la longitud total desarrollada con el método FactorK se utiliza la ecuación:

donde:
  • . Es la longitud total desarrollada.
  • . Es la longitud de la primera placa de doblez.
  • . Es la longitud de la segunda placa de doblez.
  • . Es el resultado del cálculo de la tolerancia de plegado.

La tolerancia de plegado se calcula utilizando la siguiente ecuación:

Edición de las ecuaciones de desplegado personalizadas

Puede definir cuatro tipos de ecuaciones personalizadas durante la edición de una regla de desplegado guardada.

El tipo de ecuación seleccionado en el cuadro de diálogo Editor de estilos y normas determina la variable que define la parte izquierda de la ecuación. Pulsando una sola vez en las teclas de inserción de caracteres del cuadro de diálogo Edición de ecuación puede introducir el ángulo, el radio, el grosor y Pi.

El tipo de variable lo define el Tipo de ecuación seleccionado en el cuadro de diálogo Editor de estilos y normas antes de acceder al cuadro de diálogo Edición de ecuación.

  1. En el cuadro de diálogo Editor de estilos y normas, cuando el Método de desplegado seleccionado sea Ecuación personalizada, haga doble clic en la celda Ecuación personalizada situada a la izquierda de la condición de límite para la que desea definir una ecuación personalizada.
  2. En el cuadro de diálogo Edición de ecuación, introduzca la ecuación que define la variable que se muestra fuera del cuadro de entrada de la ecuación:
    • . Inserta la variable del ángulo medido en una ecuación de desplegado personalizada.
    • . Inserta la variable del radio interior medido en una ecuación de desplegado personalizada.
    • . Inserta la variable del grosor medido en una ecuación de desplegado personalizada.
    • . Inserta el valor matemático de Pi en una ecuación de desplegado personalizada.
    • El campo de entrada de la ecuación acepta la entrada de teclado para definir una ecuación de desplegado personalizada.
  3. (Opcional) Para cambiar el tipo de variable para el que se resuelve la ecuación personalizada, haga clic en Cancelar y, a continuación, seleccione el tipo de ecuación correcta en el cuadro de diálogo Editor de estilos y normas.

Edición de las condiciones de límite de la ecuación de desplegado personalizada

Puede definir las ecuaciones de desplegado para rangos de ángulos, radios y grosores mediante la especificación de las condiciones de límite en el cuadro de diálogo Edición de contorno.

  1. Cuando el método de desplegado seleccionado en el cuadro de diálogo Editor de estilos y normas es la ecuación personalizada, a la derecha de la ecuación personalizada para la que desea definir una condición de límite, pulse dos veces en la celda Condición de límite.
  2. En el cuadro de diálogo Edición de contorno, en las listas desplegables de la fila superior, seleccione los operadores de igualdad y el tipo de rango para crear una ecuación que especifique el rango de ángulo, el grosor y el radio.
  3. En las filas inferiores, en los cuadros de los lados izquierdo y derecho, introduzca valores para los límites de la condición.