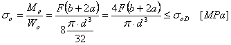
Contrainte de pliage

Pression dans la tige
Pression dans la chape
Contrainte de cisaillement
où :
|
F |
force [N] |
|
|
σ 0 |
contrainte de pliage [MPa] |
|
|
σ 0D |
contrainte de pliage admissible [MPa] |
|
|
M 0 |
moment de flexion [N mm] |
|
|
W 0 |
module de coupe de flexion [mm 3 ] |
|
| τ |
contrainte de cisaillement [MPa] |
|
|
τ D |
contrainte de cisaillement admissible [MPa] |
|
|
d |
diamètre de la broche [mm] |
|
|
p 1 |
pression dans la tige [MPa] |
|
|
p 2 |
pression dans la chape [MPa] |
|
|
p 1D |
pression admissible dans la tige [MPa] |
|
|
p 2D |
pression admissible dans la chape [MPa] |
|
|
b |
largeur de la tige [mm] |
|
|
a |
largeur du bras de chape [mm] |