Formules de moyeu en deux parties pour le calcul en unités anglo-saxonnes

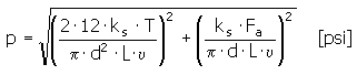
Pression de contact

Longueur minimale du moyeu

Valeurs recommandées : L = (0.6 - 3) d

Force véhiculée par une vis

Vérification de la force

p p A

où :

 

F a

force axiale [lb]

 

T

couple [lb ft]

 

d

diamètre de l'arbre [po]

 

p

pression de contact dans une liaison [psi]

 

p A

pression admissible [psi]

 

L

longueur du moyeu [po]

  υ

facteur de serrageυ = 0.008 à 0.1 [-]

 

k s

sécurité en cas de patinage [-]

 

F

force véhiculée par une vis [lb]

 

F s

force véhiculée par toutes les vis [lb]

 

i

nombre total de vis [-]