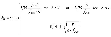
L'épaisseur minimale d'une poutre-voile doit être égale à
Si une poutre-voile est suffisamment raidie dans le sens de la longueur, dans les zones supérieure et inférieure (les éléments raidisseurs atteignent les supports), la première condition doit alors couvrir la vérification de la relation suivante :
(p/h*fc28).