Informazioni sulla geometria delle equazioni delle osservazioni dell'angolo

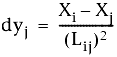
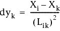
La modifica delle coordinate di ogni osservazione viene espressa nelle seguenti approssimazioni della serie di Taylor per l'equazione dell'osservazione dell'angolo:

dove

Nella seguente illustrazione viene mostrata la geometria per l'equazione dell'osservazione dell'angolo: