|
|
Per ciascuna puleggia |
|
F 2 - F 1 + F p = 0 |
|
|
|
|
|
|
|
|
|
Per la puleggia conduttrice
|
|
v ≤ v max |
|
|
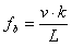
f b ≤ f max |
F c = mv 2
F Tmax = k 1 F p + F c
F 1 = F tmax
F 2 = F 1 - F p
Per le singole pulegge condotte e di tensione
i - indice della puleggia
F Pi = P xi F p
F 1i = F 2i-1
F 2i = F 1i + F p i
dove:
per puleggia sincrona
per puleggia piatta
Per l'intera trasmissione a cinghia
La tensione di installazione della cinghia richiesta viene determinata dalle forze esercitate sulla puleggia conduttrice nel seguente modo:
Esempio di trasmissione di potenza con puleggia di tensione
|
Puleggia conduttrice |
Puleggia di tensione piatta |
Puleggia condotta |
|
P x1 = 1 |
P x2 = 0 |
P x3 = 1 |
|
|
|
F P3 = P x3 F p |
|
|
|
|
|
|
|
|
|
|
F 12 = F 21 |
|
|
|
F 22 = F 12 + F p2 = F 12 |
|
|
F c = m v 2 |
|
|
|
F Tmax = k 1 F p + F C |
- |
F 13 = F 22 |
|
F 11 = F Tmax |
- |
F 23 = F 13 + F p3 = F 11 |
|
F 21 = F 11 - F p |
- |
|
|
|
- |
- |
Significato delle variabili usate:
|
F p |
Estrazione effettiva [N] |
|
F 1 |
Tensione della cinghia sul lato di input della specifica puleggia [N] |
|
F 2 |
Tensione della cinghia sul lato di output della specifica puleggia [N] |
|
z |
Numero di denti della specifica puleggia/ Numero di denti della cinghia [-] |
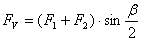
| β |
Arco di contatto / angolo dente dell'inclinazione laterale [gradi] |
|
P |
potenza da trasmettere [W] |
|
P R |
Livello di potenza della cinghia per lo specifico scheletro di trasmissione [W] |
|
c L |
Fattore di servizio [-] |
| β |
Arco di contatto [gradi] |
|
T |
Momento che agisce sulla specifica puleggia [Nm] |
|
n |
Velocità della specifica puleggia [rpm] |
|
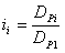
D p |
Diametro primitivo della puleggia [m] |
|
v |
Velocità della cinghia [m/s] |
|
k |
Numero di pulegge nella trasmissione a cinghia [-] |
|
L |
Lunghezza del passo della cinghia [m] |
|
P |
potenza da trasmettere [W] |
|
m |
Spessore cinghia specifico per una determinata larghezza [Kg/m] |
|
k 1 |
Fattore di tensione della cinghia [-] |
|
F p |
Estrazione effettiva [N] |
|
F c |
Forza centrifuga [N]. |
|
F t |
Tensione minima di installazione della cinghia [N] |
|
P xi |
Rapporto di potenza della specifica puleggia [-] |
|
D pi |
Diametro primitivo della puleggia [m] |
|
i |
Rapporto di trasmissione (rapporto di velocità) della specifica puleggia [-] |
|
T i |
Momento che agisce sulla specifica puleggia [Nm] |
| η |
Efficienza [-] |
|
p b |
Passo circonferenziale [m] |
|
D |
Diametro nominale della puleggia piatta [m] |
|
H |
Altezza della cinghia [m] |
|
h T |
Altezza del dente della cinghia [m] |
|
a |
Offset linea passo [m] |