Generatore perni radiali

Valori consigliati:

d = (0,2 -0,3) D

D 1 = (1,5 - 2) D - per acciaio e acciaio fuso

D 1 = 2,5 D - per ghisa grigia fusa

Lunghezza attiva perno

La lunghezza attiva del perno l f è una lunghezza ridotta utilizzando cimatura e raccordi. Generalmente, la lunghezza attiva consente di trasportare carichi.

Formule in unità metriche

Sollecitazione di flessione

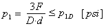
Pressione nell'asta

Pressione nel perno

Sollecitazione a taglio

dove:

 

F

forza [N]

 

σ 0

sollecitazione di flessione [MPa]

 

σ 0D

Sollecitazione di flessione ammissibile [MPa]

 

M 0

momento flettente [N mm]

 

W 0

modulo sezione flettente [mm 3 ]

  τ

sollecitazione a taglio [MPa]

 

τ D

sollecitazione a taglio ammissibile [MPa]

 

d

diametro del perno [mm]

 

p 1

pressione nell'asta [MPa]

 

p 2

pressione nel perno [MPa]

 

p 1D

pressione ammissibile nell'asta [MPa]

 

p 2D

pressione ammissibile nel perno [MPa]

 

b

larghezza asta [mm]

 

a

larghezza braccio del perno [mm]

 

D

diametro albero [mm]

Formule in unità inglesi

Sollecitazione di flessione

Pressione nell'asta

Pressione nel perno

Sollecitazione a taglio

dove:

 

F

forza [lb]

 

σ 0

sollecitazione di flessione [psi]

 

σ 0D

sollecitazione di flessione ammissibile [psi]

 

M 0

momento flettente [ln ft]

 

W 0

modulo sezione di flessione [in 3 ]

  τ

sollecitazione a taglio [psi]

 

τ D

sollecitazione a taglio ammissibile [psi]

 

d

diametro del perno [in]

 

p 1

pressione nell'asta [psi]

 

p 2

pressione nel perno [psi]

 

p 1D

pressione ammissibile nell'asta [psi]

 

p 2D

pressione ammissibile nel perno [psi]

 

b

larghezza asta [in]

 

a

larghezza braccio del perno [in]

 

D

diametro albero [in]