Have you ever gone through a full simulation only to find that your application doesn't provide the results you need? With Autodesk® CFD, you can set up your own custom result quantities to analyze and visualize quantities beyond the standard CFD results. Use quantities you create to customize how you analyze and present your simulation results.
Click
Setup
Simulation
Custom Result Quantities to open the dialog.

You can also open the dialog when working with results. Click
Results
Global
Custom Result Quantities.

In the Custom Result Quantities dialog, you can add, edit, and remove quantities. Use the various functions, variables, and operators to create equations appropriate for your analysis.
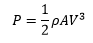
Let's assume we are modeling a windmill with a blade radius of 0.75 meters. We want to create a quantity that tracks the theoretical wind power available to our windmill. Theoretically, this wind power can be expressed as:

where P is the power (W), ρ is the density of air (kg/m3), A is the area (m2) of the circle created by blade rotation, and V is the wind velocity (m/s).
We have input the values into the Custom Result Quantities dialog, as shown in the following image.

Some dialog highlights:

