材料特性

材料の特性についてAdvanced Material Exchangeで使用できる方法には、マルチレイヤと単一レイヤの 2 つがあります。 各アプローチは、弾性および塑性係数、破損係数、圧縮応力降下係数(圧縮データが提供されている場合)を決定するために使用できます。

マルチレイヤ

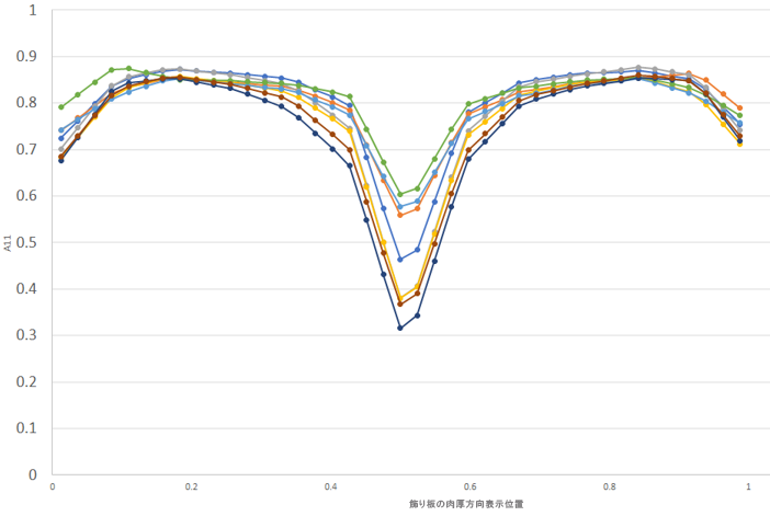
繊維配向テンソルは、パーツの厚さによって大きく変化します。下の画像は、いくつかの材料について、モデルの厚みによって繊維配向テンソルの A11 コンポーネントが変化する例を示しています。 他のコンポーネントは示していませんが、同様に厚みによって異なります。

厚みによる繊維分布の変化をキャプチャするには、複数の繊維配向テンソルを適用する必要があります。これによりマルチレイヤのアプローチになります。これがAdvanced Material Exchangeで使用される既定の材料特性の指定方法です。 マルチレイヤのアプローチは古典積層理論(CLT)[16]上に構築されています。このアプローチでは、材料の厚みを通って 12 個のレイヤ(または半対称モデルで 6 つのレイヤ)があります。各レイヤには一意の繊維配向テンソルが含まれ、厚みを通る繊維分布のリアルな表現をキャプチャすることができます。

Moldflow 回転拡散モデルを使用した観測結果には、繊維配向テンソルの予測と材料の繊維体積率間に強い関係があります。この依存関係を考慮し、繊維体積率が多項式のフィットに使用されて各レイヤの厚みの配向が生成されます。まず、繊維配向テンソルは、サーフェス レイヤによって決定されます。次に、繊維配向テンソルが中心の(6 番目)レイヤで決定されます。サーフェスとセンターの間にある 4 つの残りのレイヤの繊維配向テンソルは、線形補間を使用して決定されます。

マルチレイヤ メソッドは、力と曲率の間にカップリングがないことを前提としています。

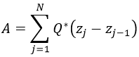
ここで

Q* は、平面応力剛性マトリックスを表し、zj -z j-1 は各レイヤの厚みを表します。

このアプローチを使用して、ロードが段階的にマルチレイヤ モデルに適用され、実験データに最もフィットする弾性および塑性係数のセットが決定されます。

多項式応力破損係数

多項式応力破断基準による破断の評価に使用される破損係数は、モデルの各積分点における繊維配向テンソルの最大固有値によって異なります。そのため、これらの係数の一部(A11m、A22m、A33m、A12m、A13m、A23m)については、可能な限りの最大固有値範囲にわたるように、材料特性ルーチンの中で決定する必要があります。

はじめに、CLT モデルの各画層を個別にロードし、0 度、45 度、90 度で荷重を材料座標系に適用します。この時点で、荷重の各角度について破損時の最大ひずみを抽出することができます。これらの最大ひずみ値を使用して、繊維配向テンソルの範囲にわたって材料モデルを試すことができます。これにより、繊維配向テンソルの範囲にわたる固有の母材応力が得られます。これらの応力を使用して連立方程式を解き、破損係数を計算します。

MCT 破損係数

MCT 破断基準の破損係数 A1m、A2m、A4m も、材料特性決定プロセス中に決定されます。

最初に、3 つの実験応力-ひずみ曲線(0 度、90 度、45 度のデータ セット)のそれぞれの最大ひずみ値までCLT モデルが実行されます。45 度の応力-ひずみデータがない場合は、90 度の曲線を使用し、応力のデータ点を 5% 上昇させます。この時点で、CLT モデルの中心の層における母材応力を収集することができます。連立方程式を解くことにより、A1m、A2m、A4m の初期推定値が得られます。

目標は、0 度、90 度、45 度の荷重の場合の、第 1 層破損を正確に予測する破損係数のセットを求めることです。したがって、A1m、A2m、A4m の初期推定値に演算を施して、境界範囲を求めます。範囲は、Aim ± abs(Aim)で計算されます。次に、サンプル サイズ 300,000 でモンテ カルロ法のシミュレーションが実行され、一方向繊維の場合に対するこれらの境界内で、A1m、A2m、A4m のランダム セットが生成されます。

ここで、各ランダム セットを一巡して、CLT モデルの各層の 3 つの破損係数に関して繊維配向の平均化を行います。第 1 層破損に関して CLT モデルによって生じる誤差は、FI - 1 で計算できます。ここで、FI は破損インデックスです。この誤差計算は、3 つの曲線(0 度、90 度、45 度)のそれぞれに対して実行されます。

最後に、個別の誤差の和として合計誤差が計算されます。これで、誤差を最小にする破損係数のランダム セットを選択できるようになりました。これにより、最終的な破損係数のセットが得られます。

単一レイヤ

単一レイヤ材料特性指定スキームでは、材料の厚みを通る繊維配向テンソルが定数値であるとみなされます。実際には、繊維配向テンソルは、パーツの厚みを通って大幅に異なります。これは、単一レイヤの材料特性スキームを使用する際の短所の 1 つです。

単一レイヤの材料特性スキームには、上記で説明した既定のマルチレイヤ ルーチンよりも高速になるという利点があります。考慮する繊維配向テンソルは 1 つのみであるため、材料特性が速くなります。Moldflow で繊維配向テンソルを予測するために Moldflow 回転拡散モデル以外のモデルを使用した場合は、単一レイヤのスキームが役に立つことがあります。Moldflow 回転拡散モデルを使用した場合は、上記で説明したように、Moldflow 回転拡散モデルでの使用を目的とした既定のマルチレイヤの方法を使用することをお勧めします。

MCT または最大有効応力の破断基準を使用する場合は、単一レイヤの材料特性スキームを使用して破損係数を決定することもできますが、マルチレイヤのスキームを使用することをお勧めします。マルチレイヤのスキーマは、破壊の予測において、厚み方向の差異をより詳細にキャプチャします。