母材の構成破損基準(織物複合材料)

織物複合材料に使用される母材破損基準を表示します。

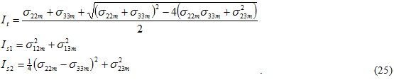
最適に特性指定された強度に満たない織物複合母材材料に 10 の係数を持つ基準を適用するのは現実的ではありません。したがって、織物複合材料に使用される母材破損基準には調整可能なパラメータが 3 つしか含まれていません。これらは、織物材料の 3 つの測定された Knee 点強度を使用して直接適合されます。一方向の複合材料の場合と同様、不変量が使用されます。不変量を It、Is1、Is2 のように選択します。これらは、それぞれ繊維方向に対する最大引張応力法線、最大縦方向せん断応力、最大横方向せん断応力を示します。基準は単純にこれらの不変量の二次の組み合わせです。

ここで

{} は Macaulay の括弧で、括弧内の数量が負の場合、値はゼロになります。負以外の場合、値は括弧内の数量になります。これによって、引張応力とせん断応力の組み合わせによって破損が発生し、圧縮応力によってせん断強度が低減しないようになります。

一方向複合材料の場合と同様、破損が発生すると判断されると、母材特性は等方に劣化します。