溶接設計 |
すみ肉溶接の慣性モーメント J [mm 4 、in 4 ] |
溶接グループ断面の重心の位置 |
|
![]() |
![]() |
|
![]() |
![]() |
|
![]() |
![]() |
|
![]() |
![]() |
|
![]() |
![]() |
|
![]() |
![]() |
|
J = π a (r + a / 2) 3 |
- |
|
![]()
|
![]()
|
|
![]()
|
![]()
|
|
![]()
|
![]() |
|
![]()
|
![]() |
|
![]()
|
![]() |
|
![]()
|
![]() |
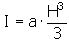
使用される変数の意味:
a |
すみ肉溶接高さ [mm, in] |
B |
溶接グループの幅 [mm, in] |
H |
溶接グループの高さ [mm, in] |
L |
溶接長さ [mm, in] |
r |
溶接半径 [mm, in] |
s |
ウェブの厚さ [mm, in] |
t |
フランジの厚さ [mm, in] |