入力パラメータ
入力応力: F
外径: D
内径: D 0 (ディスク ブレーキと円錐ブレーキの場合のみ)
幅: b
円錐角度: β (円錐ブレーキの場合のみ)
ブレーキ数(ブレーキ面): N
[ブレーキ圧(最大)]: p (最大)
[ブレーキ圧速度(最大)]: p.v (最大)
開始速度: n 0
終了速度: n 1
開始速度: E については、「エネルギー計算」の章を参照
計算パラメータ
摩擦力
バンド ブレーキの場合:
|
F t = F (e fα - 1) |
その他
|
F t = F n f |
ここで
| α | [角度当りの長さ] | |
| f | 摩擦係数 | |
| F n | 垂直力 | |
| ディスク ブレーキの場合: | ||
|
F n = F / sin (β) |
||
| その他: | ||
|
F n = F |
||
ブレーキ トルクの計算
T = 0.5 D e F t
ここで
|
D e |
同等の径 |
|
|
コーンおよびディスク ブレーキ用 |
||
|
|
||
|
その他 D e = D |
圧力計算
ここで
|
A = N b L |
ブレーキ表面 |
|||
|
b |
幅 |
|||
|
L = 0.5 D s α |
長さ |
|||
| α |
角度 |
|||
|
D s |
平均直径。コーンおよびディスク ブレーキ D s = 0.5 (D + D 0 ) |
|||
|
その他 D s = D |
||||
ブレーキのウォーミングアップの簡単なチェック
p ≤ p (M ax. )
p v ≤ p v (M ax. )
ここで
|
v = π D n 0 / 60 |
開始円周速度 |
|
ブレーキ時間の計算
ここで
|
|
減少した慣性モーメント |
|
|
|
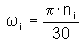
速度/回転[rad/s] |
停止までの回転数
出力荷重 F0
バンド ブレーキのみ:
F 0 = F + F t = F e fα