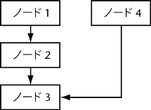
Maya は一般化インスタンスをサポートしています。一般化インスタンスとは、あるノードをインスタンス化する別のノード同士が兄弟である必要がないことを意味します。
Node 2 と Node 4 は兄弟ではなく、それぞれ Node 3 をインスタンス化しています。参照が階層を循環しないので、より複雑な階層を作成することもできます。参照が階層をサイクルすると、DAG の非サイクル性が崩れます(DAG が有向非サイクルグラフであることに注意してください)。