3D 一般収縮モデル
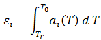
このモデルは、次の式を使用して線形収縮を近似化します。
ここで、
は温度
T
における第
i
主方向の線形熱膨張係数(CTE)。温度依存熱膨張係数(CTE)
i
は、特殊な PVT スケーリング方法を使用して考慮されます。
T
0
は局部キャビティ圧力が大気圧に到達したときの温度。この値は流動シミュレーションから得られます。
T
r
は室温。
このセクションの内容
一般収縮モデルを選択するには
一般収縮モデルは 3D 未補正残留応力モデルが導入されるまで使用されていました。
親トピック:
3D モデルの収縮予測法