Reduced Strain Closure モデル

Reduced Strain Closure (RSC) モデルは、繊維配向解析実行時の繊維配向計算オプションです。

Folgar-Tucker 繊維配向式は繊維配向計算で使用する標準モデルです。支配方程式は次のとおりです。
次の点に注意してください。
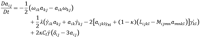
しかし、最近の実験および参考資料では、Folgar-Tucker モデルは高濃度懸濁液における配向テンソルの変化率を過大評価することが報告されています。遅延配向ダイナミックスを評価し、繊維配向計算での客観性を保持するために、RSC モデル開発されました。1 このモデルは、スカラー係数によって配向テンソル固有値の成長速度を低減する一方で、その固有ベクトルの回転速度は変更しないという理論に基づいています。次のように配向式は変更されます。
RSC モデルと標準の Folgar-Tucker モデルが異なるのは次の点のみです。
  1. 拡散項はスカラー係数 によって低減される。
  2. 完結項 は、次に置き換えられる。
4 次テンソル 、および は次のように定義されます。

ここで、 p番目の配向テンソルの固有値 i番目のコンポーネント (p 番目の配向テンソルの固有値 )です。

スカラー係数 は現象論的パラメータで、 は遅延配向ダイナミックスをモデリングするために使用します。スカラー係数 が低いほど、流動とともに発達する配向テンソルは低速で、配向コア層はより厚くなります。また、 = 1 の場合、RSC モデルは元の Folgar-Tucker モデルまで低減されます。

参照

J. Wang, J.F. O’Gara, and C.L. Tucker III, An Objective Model for Slow Orientation Dynamics in Concentrated Fiber Suspensions: Theory and Rheological Evidence. Journal of Rheology, 52(5):1179-1200 (2008).

1 Delphi Technologies, Inc. (Tucker et al., 2007) は RSC モデルの米国特許権を有し、Autodesk 社はこのモデルの独占的ライセンスを有します。