境界要素法計算

冷却解析は、完全 3D 金型冷却解析です。冷却解析では、BEM(境界要素法)を基に開発された、数値的な手法が使用されます。BEM では、物理的な観点から、解を求めるときにすべての境界を熱源(取得熱/損失熱)と見なします。

金型の温度は、すべての熱源の影響を総合して決定されます。

3D 金型の平衡温度場は、ラプラスの式によって次のように表現することができます。

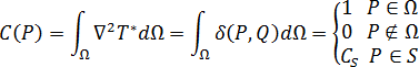
ここで、 その領域内の特定の点 について上式が成り立つものとします。この場合、境界条件は次のように統合されます。

ここで、

BEM ですべての境界条件が、金型温度場の解法にどのように適用されるか理解するため、まず、重みつき残差式について確認しましょう。

ここで、 は重み関数です。

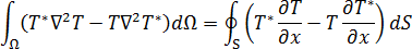
グリーンの第 2 等式を利用すると、式(3)は次の形式に変換することができます。

を 次のように定義された式 (1)の基本解として選択します。

ここで、 はディラックのデルタ関数です。3D 金型では、次のようになります。

ここで、 これにより、式(4)は次のように単純化することができます。

ここで、

式(7)で、境界積分のみの式となりました。そのため、すべての金型表面()を 個の要素に分割した場合、温度と温度変化が各境界要素で一定であると仮定すると、式(7)は次の形式に離散化することができます。

ここで、

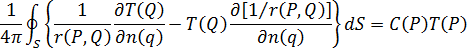
温度作用項(いわゆる H 項)は、要素 の 点 に対する、温度の影響の強さを表し、次の式で計算されます。

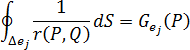
熱流束作用項(いわゆる G 項)は、要素 の 点 に対する、熱流束入力の影響の強さを表し、次の式で計算されます。

が 要素 の重心であると仮定します。式(9) を代入すると、次のような 個の線形方程式を得ることができます。