STRAIN

Element Strain Output Request

Description: Requests element strain output.

Format:

Example:

STRAIN(VONMISES, CORNER) = 45

Option Definition Type Default
PRINT Element strains will be output to both the Model Results Output File and the results neutral file system. Character
PLOT Element strains will be output only to the results neutral file system. Character
PUNCH Element strains will be output additionally to the Model Results Punch File. Character
CENTER Output shell and solid element strains at the center only. Character
CORNER Output shell and solid element strains at the center and corner nodes. Character
GAUSS Output shell and solid element strains at the center and gauss/integration points. Character
SHEAR Maximum shear strain request for shell elements and octahedral shear strain request for solid elements. Character
VONMISES Von Mises strain request for shell and solid elements. Character
TRESCA Tresca strain request for shell and solid elements. Character
REAL or IMAG Requests complex output in rectangular format (real and imaginary). Character
PHASE Requests complex output in polar format (magnitude and phase). Phase output is in degrees. Character
STRCUR Strain at reference plane and curvatures are output for shell elements. Character
FIBER Strain at locations Z1 and Z2 are output for shell elements. Character
PSDF Power spectral density function, RMS, and number of positive crossings output request. Character
ATOC Autocorrelation function output request. Character
RALL Both PSDF and ATOC will be output. Character
VRMS RMS von Mises output request. Character
BIAX Biaxiality ratio output request. Character
VALL RMS von Mises, RMS principal, RMS maximum shear, and biaxiality ratio will be output. Character
THERMAL Thermal strain request for shell and solid elements. Character
MECH Mechanical strain request for shell and solid elements. Character
TOTAL Total strain (thermal plus mechanical) request for shell and solid elements. Character
ALL Element strains for all elements will be output. Character
n Set identification of previously appearing SET command. Only strains for elements whose identification numbers appear on this SET command will be output. Integer > 0
NONE Element strains will not be output. Character

Remarks:

  1. ELSTRAIN is an alternate form and is identical to STRAIN.
  2. Both STRESS and STRAIN cannot be requested in the same subcase.
  3. Shell elements must be referenced on a SURFACE and solid elements must be referenced in a VOLUME. (See the SURFACE and VOLUME commands in Section 3, Case Control.)
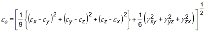
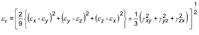
  4. Solid element invariants are defined as follows:

    Octahedral shear strain:

    von Mises equivalent strain:

    Tresca strain:

  5. Shell element invariants for plane stress analysis are defined as follows:

    Maximum shear strain:

    von Mises equivalent strain:

    Tresca strain:

  6. Shell element Tresca stress is defined using the maximum and minimum of three stress measures:
    • Inplane major principal stress
    • Inplane minor principal stress
    • Through thickness stress defined as the negative of the applied pressure at the element surface
  7. VRMS, von Mises RMS strain, is calculated by evaluating the PSD response of the peak RMS strains calculated at each frequency step in a frequency or random response analysis. It is used as a measure of the total component stress.