管摩擦係数

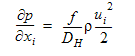
摩擦係数は長いチューブやパイプをシミュレートできます。この方式では、付加される圧力損失を以下のように記述します。

ここで、f は管摩擦係数、DH は水力直径です。

注: 水力直径とシミュレートしたパイプ長さは、どちらの方法にも必要なプロパティです。

方法 1: ムーディ

ムーディ線図は管摩擦係数の計算に使用されます。障害物の表面粗さの高さを正確な長さ単位で入力します。

方法 2:

管摩擦係数は から求められます。レイノルズ数は管の水力直径に基づいています。係数 ab を入力します。

注: 管摩擦係数に寸法はありませんが、水力直径は正しい長さ単位で入力してください。