전달된 토크
설명:
|
P |
동력 [kW] |
|
|
n |
속도 [rpm] |
최소 샤프트 지름 계산
1. 샤프트 내부 지름 d h > 0
a)
b) d min ≤d h 인 경우 d min = 1.1 d h [mm]
c) d min ≤ 1.5 d h 인 경우 d min = 1.5 d h [mm]
2. 샤프트 내부 지름 d h = 0

설명:
|
d min |
최소 샤프트 지름 [mm] |
|
|
d h |
샤프트 내부 지름 [mm] |
|
|
T |
토크 [Nm] |
|
|
K a |
적용 계수 |
|
|
K f |
피로 수명 계수 |
|
|
S v |
원하는 안전율 |
|
|
τ A |
허용 전단 응력 |
일반 계산
|
|
샤프트에 작용하는 힘의 범위 |
|
h k = h - h s - 2 s [mm] |
허브에 작용하는 힘의 범위 |
![]() |
힘 작용 범위의 샤프트 지름 |
![]() |
힘 작용 범위의 허브 지름 |
|
|
샤프트에 작용하는 힘 |
|
|
허브에 작용하는 힘 |
|
설명: |
|
T |
토크 [Nm] |
|
|
F s |
샤프트에 작용하는 힘 [N] |
|
|
F h |
허브에 작용하는 힘 [N] |
|
|
K a |
적용 계수 |
|
|
K f |
마모 수명 계수 |
|
|
K w |
적용 계수 |
|
|
K m |
하중 분배 계수 |
|
|
S v |
원하는 안전율 |
|
|
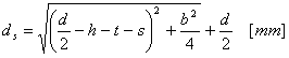
d |
샤프트 지름 [mm] |
|
|
d s |
힘 F s 가 발생하는 샤프트 지름 [mm] |
|
|
d h |
힘 F d 가 발생하는 샤프트 지름 [mm] |
|
|
N |
그루브 수 [-] |
|
|
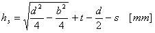
h |
그루브 높이 |
|
|
h s |
샤프트에 힘이 작용하는 지점의 높이 [mm] |
|
|
h h |
허브에 힘이 작용하는 지점의 높이 [mm] |
|
|
b |
그루브 폭 |
|
|
t |
샤프트의 그루브 깊이 [mm] |
|
|
s |
모따기 |
|
|
p Dmins |
최소 허용 압력(그루브, 샤프트) [MPa] |
|
|
p Dminh |
최소 허용 압력(그루브, 허브) [MPa] |
토크를 전달할 최소 키 길이
|
1. 고정 연결인 경우: |
a) |
|
b) |
|
|
L min = min(L mins , L minh ) |
|
|
2. 유동 연결인 경우: |
a) |
|
b) |
|
|
L min = min(L mins , L minh ) |
|
|
설명: |
|
F s |
샤프트에 작용하는 힘 [N] |
|
|
F h |
허브에 작용하는 힘 [N] |
|
|
K a |
적용 계수 |
|
|
K f |
마모 수명 계수 |
|
|
K w |
적용 계수 |
|
|
K m |
하중 분배 계수 |
|
|
S v |
원하는 안전율 |
|
|
d |
샤프트 지름 [mm] |
|
|
N |
그루브 수 [-] |
|
|
h s |
샤프트에 힘이 작용하는 지점의 높이 [mm] |
|
|
h h |
허브에 힘이 작용하는 지점의 높이 [mm] |
|
|
p Dmins |
최소 허용 압력(그루브, 샤프트) [MPa] |
|
|
p Dminh |
최소 허용 압력(그루브, 허브) [MPa] |
최소 허용 압력
|
1. 고정 연결인 경우: |
a) |
|
b) |
|
|
2. 유동 연결인 경우: |
a) |
|
b) |
|
|
설명: |
|
F s |
샤프트에 작용하는 힘 [N] |
|
|
F h |
허브에 작용하는 힘 [N] |
|
|
K a |
적용 계수 |
|
|
K f |
마모 수명 계수 |
|
|
K w |
적용 계수 |
|
|
K m |
하중 분배 계수 |
|
|
S v |
원하는 안전율 |
|
|
d |
그루브 단면의 내부 지름 [mm] |
|
|
N |
그루브 수 [-] |
|
|
h s |
샤프트에 힘이 작용하는 지점의 높이 [mm] |
|
|
h h |
허브에 힘이 작용하는 지점의 높이 [mm] |
|
|
l f |
활성 키 길이 [mm] |
강도 검사
p mins ≤ p Ds
p minh ≤ p Dh
설명:
|
p mins |
샤프트의 계산된 최소 전단 압력 [MPa] |
|
|
p minh |
허브의 계산된 최소 전단 압력 [MPa] |
|
|
p Ds |
샤프트의 허용 압력 [MPa] |
|
|
p Dh |
허브의 허용 압력 [MPa] |
단순 계산
토크를 전달할 최소 키 길이
|
1. 고정 연결인 경우: |
![]() |
|
2. 유동 연결인 경우: |
![]() |
|
설명: |
|
T |
토크 [Nm] |
|
|
K a |
적용 계수 |
|
|
K f |
마모 수명 계수 |
|
|
K w |
적용 계수 |
|
|
K m |
하중 분배 계수 |
|
|
S v |
원하는 안전율 |
|
|
d |
샤프트 지름 [mm] |
|
|
N |
그루브 수 [-] |
|
|
h |
그루브 높이 |
|
|
s |
모따기 |
|
|
h st |
연결 높이 h st = h - 2 s [mm] |
|
|
p Dmin |
샤프트, 그루브 또는 허브의 지지 표면 허용 압력 [MPa] |
허용 압력
|
1. 고정 연결인 경우: |
![]() |
|
2. 유동 연결인 경우: |
![]() |
|
설명: |
|
T |
토크 [Nm] |
|
|
K a |
적용 계수 |
|
|
K f |
마모 수명 계수 |
|
|
K w |
적용 계수 |
|
|
K m |
하중 분배 계수 |
|
|
S v |
원하는 안전율 |
|
|
d |
샤프트 지름 [mm] |
|
|
N |
그루브 수 [-] |
|
|
h |
그루브 높이 |
|
|
s |
모따기 |
|
|
h st |
연결 높이 h st = h - 2 s [mm] |
|
|
l f |
활성 키 길이 [mm] |
강도 검사
p min ≤ p Ds
p min ≤ p Dh
설명:
|
p min |
계산된 최소 h/2 압력 [MPa] |
|
|
p Ds |
샤프트의 허용 압력 [MPa] |
|
|
p Dh |
허브의 허용 압력 [MPa] |