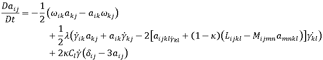
환산 변형 클로저(RSC) 모델은 섬유 배향 해석을 수행할 때 섬유 배향을 계산하기 위한 옵션입니다.

는 섬유 배향 텐서입니다.
는 와동 텐서이고
는 변형률 텐서입니다.
는 섬유 상호작용 계수, 스칼라 현상학적 변수, 실험 결과에 따라 결정되는 값입니다. 이 항은 원래 Jeffery 형식에 추가되어 섬유 간 상호작용을 고려합니다. 
만큼 줄어듭니다.
이 다음으로 대체됩니다. 
및
은 다음과 같이 정의됩니다. 

여기서
는 p번째 고유 값(배향 텐서
)이고,
는 i번째 성분( p번째 고유 벡터(배향 텐서
))입니다.
스칼라 계수
는 현상학적 변수이며, 느린 배향 역학을 모델링하려면
입니다. 스칼라 계수
가 작을수록 배향 텐서는 유동과 함께 더 느리게 진행되고 배향 코어 레이어는 더 두꺼워집니다.
= 1인 경우 RSC 모델이 원래 Folgar-Tucker 모델로 축소됩니다.
J. Wang, J.F. O’Gara, and C.L. Tucker III, An Objective Model for Slow Orientation Dynamics in Concentrated Fiber Suspensions: Theory and Rheological Evidence. Journal of Rheology, 52(5):1179-1200 (2008).