일부 플라스틱 부품에는 규칙적인 단면이 없습니다. 즉, 양쪽이 모두 납작합니다. Midplane 해석 기술의 경우 그리드 또는 그릴과 같은 복잡한 단면에 근사치를 적용할 수 있습니다.
두께 및 형상 계수는 Midplane 삼각형 요소의 속성이며, 빔 요소에 사용되는 지름 및 형상 계수와 유사합니다. 표면에 규칙적인 단면이 있으면 두께가 지정되고 형상 계수는 1이 됩니다. 그러나 표면 패턴은 모양 및 기능상의 이유로 플라스틱 제품 설계에서 자주 사용됩니다.
미드플레인 메쉬는 제품의 모서리를 고려하지 않습니다. 금형과 접촉하는 표면 영역을 표현하기 위해 그리드와 같은 표면 패턴의 경우 그리드 모서리의 추가 표면 영역이 형상 계수를 통해 통합됩니다. 표면 패턴에 대한 형상 계수는 동등한 표면의 비율에 대한 실제 접촉 면의 비율로 정의됩니다.
다음 다이어그램에서는 슬래브 같은 표면을 보여줍니다. 동등 두께 및 형상 계수가 패턴의 한 가지 기본 유닛으로 계산되어 반복됩니다.
패턴의 기본 유닛에는 투영 영역
, 접촉 면
(상단, 하단 및 측면 포함), 상단 및 하단 표면 사이의 체적
가 있습니다. 동등 두께가 동일한 경우 더 큰 형상 계수를 사용하면 지정된 체적에 더 많은 접촉 면이 생기고 벽으로 인해 냉각 효과가 더 많아질 뿐만 아니라 지오메트리 불규칙성으로 인해 유동 저항도 더 많아진다는 의미입니다. 프로그램은 각 형상 계수에 따라 미드플레인 요소의 이러한 두 가지 효과를 자동으로 조정합니다.

그릴 및 메쉬 크기의 상대적 치수에 따라 그릴로 지오메트리를 모델링하는 두 가지 방법이 있습니다. 다음 다이어그램의 (a) 부분에 표시된 대로 그릴 세그먼트의 길이가 메쉬 크기보다 크면 그릴은 적절한 동등 지름 및 형상 계수를 사용하는 빔 요소로 모델링되어야 합니다. 그릴 크기가 메쉬 크기에 비해 작으면 총 그리드 영역은 다음 다이어그램의 (b) 부분에 표시된 대로 동등 두께 및 형상 계수를 사용하는 삼각형 요소로 모델링되어야 합니다.

(c) 단면 A-A, (m) 메쉬 크기, (r) 빔(러너) 요소

(c) 단면 A-A, (m) 메쉬 크기, (u) 기본 유닛
3mm 두께의 제품에서 2mm의 구멍 크기(
) 및 1.5mm의 구멍 간 거리(
)를 사용하여 그릴을 모델링하려면 먼저 계산의 기초로 그릴을 나타내는 영역을 확인합니다. 위 다이어그램에서는 영역
입니다.
투영 영역(A)은
의 영역입니다.
또는
= 12.25입니다.
접촉 면(S)은 [2 x 투영 영역(상단 및 하단 표면)] - [2 x 구명 영역] + [구멍의 원주 x 구멍 깊이(b)]입니다. 이렇게 하면
. 값을 대입하면
= 37.07을 얻을 수 있습니다.
체적(V)은 [투영 영역의 체적] - [구멍의 체적]입니다. 이 값은
이거나
= 27.33입니다.
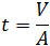
동등 두께(t)는
또는 27.33/12.25 = 2.23mm입니다.
형상 계수는 [접촉 면 영역(S)]/[2 x 투영 영역(A)] 또는 1.51입니다.
미드플레인 메쉬 모델에서 그릴 영역을 선택하십시오. 마우스 오른쪽 버튼을 클릭하고 속성(또는
클릭)을 선택하십시오. 단면 상자에서 기타 형상을 선택하십시오. 치수 편집을 클릭하고 나타나는 단면 치수 대화상자에 동등 두께(2.23) 및 형상 계수(1.51)의 계산값을 입력하십시오.