진공에서의 흐름(낮은 압력 한계)

Autodesk® CFD에서는 Navier-Stokes(N-S) 방정식의 수치 솔루션을 제공합니다. N-S 방정식은 유체를 연속체로 처리할 수 있다고 가정합니다. 일부 진공 흐름 또는 매우 낮은 압력 흐름에서 흐름은 더 이상 연속체가 아니며 개별 유체 분자를 고려해야 합니다. 이러한 가정은 흐름 경로의 특성 차원이 유체 평균 자유 경로의 10배보다 낮게 떨어지므로 부정확해집니다.

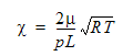
우리는 다음과 같이 정의되는 무차원 값인 를 사용하여 평균 자유 경로를 특성화할 수 있습니다.

다음과 같은 기호가 정의되어 있습니다.

기호 설명
무차원 진공 번호
STP에서의 절대 점도
p 정적 압력
L 특성 길이(유압 지름)
R 가스 상수
T 온도

아래 테이블에는 Navier-Stokes 방정식을 흐름에 적용할 수 있는 범위가 나와 있습니다.

범위 흐름 설명
< 0.014 흐름은 연속체로, Navier-Stokes 방정식에 의해 지배됩니다.
0.014 < <1.0 흐름은 표면을 따라 미끄러지는 슬립 흐름이지만 여전히 Navier-Stokes 방정식을 사용하여 근사치를 구할 수 있습니다.
>1.0 흐름은 더 이상 연속체가 아니며 Navier-Stokes 방정식으로 나타낼 수 없습니다.
주: 산업 응용 분야에서 실제 진공이 유지되는 경우는 매우 적습니다. 이러한 흐름 환경을 작성하는 데 필요한 물리적 요구 사항(압축기 펌프 및 실 관련)은 매우 까다로우며, 대부분의 산업 응용 분야에서는 별로 현실적이지 않습니다. 따라서 진공이 실제로 존재하는지 또는 근사치로도 충분한지를 이해하기 위해 상황을 신중히 평가하는 것이 중요합니다.