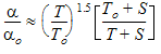
Sutherland

다음 방정식은 Sutherland 특성 변형에 대해 설명합니다.

참조 온도 고려 사항

Sutherland 공식에서 참조 온도는 재료에 국한됩니다. 예를 들어, 공기의 참조 온도는 질소와 다릅니다. Sutherland 변형을 사용하는 사용자 재료를 정의할 때 참조 온도 값을 알아야 합니다. 그 이유는 환경 온도(재료 또는 시나리오 환경의 일부로 지정)가 특성 정의에서 참조 온도로 사용되기 때문입니다.

재료별 참조 온도를 환경 온도로 규정하는 것이 중요합니다. 예를 들어, 알려진 재료별 참조 온도가 10 °C이면 재료 환경 대화상자에서 온도를 10 °C로 지정합니다. 환경 온도로 다른 값을 지정하면 결과 특성 변형이 올바르지 않게 됩니다.

환경 대화상자의 고정 및 가변

재료 환경 대화상자에서 고정을 선택하면 멱법칙으로 정의한 특성 값(점도, 전도성 또는 밀도)이 항상 재료 편집기에 지정된 참조 값이 됩니다. 다른 특성 변형 방법과 달리, Sutherland는 고정이 선택될 경우 규정된 환경 조건을 반영하도록 특성 값을 업데이트하지 않습니다.

가변을 선택하면 특성 값은 결과 필드의 환경 조건에 따라 업데이트됩니다.

재료 툴팁

Sutherland로 정의되는 특성의 표시된 값은 항상 환경 조건에 관계없이 특성의 참조 값이 됩니다. 재료가 고정으로 설정되면 모형 전체에서 이 값이 사용됩니다. 재료가 가변으로 설정되면 특성은 필드 온도 값을 기준으로 업데이트됩니다.