Wielolinie etykiet i objaśnień

Etykiety i objaśnienia to jedne z najczęściej występujących opisów na rysunku. Przekazują różnego rodzaju informacje oraz identyfikatory w zależności od ich treści i symboli. Najbardziej zaawansowanym narzędziem dostępnym do tworzenia tych obiektów w programie AutoCAD jest narzędzie wielolinii odniesienia, czyli WIELOLODN. Poniżej przedstawiono kilka przykładowych wielolinii odniesienia, które możesz łatwo utworzyć.

Oto główne korzyści z używania wielolinii odniesienia w porównaniu z innymi metodami:

Wiele opcji dostępnych podczas tworzenia jednego lub więcej stylów wielolinii odniesienia.

Uwaga: Film nie zawiera dźwięku ani napisów.

Uwaga: Kroki, obrazy i filmy mogą się nieznacznie różnić w zależności od używanej wersji produktu.

Tworzenie standardowej wielolinii odniesienia

  1. Na karcie Narzędzia główne, w panelu Opis kliknij opcję Wielolinia odniesienia.
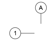
  2. Określ punkt początkowy grotu strzałki (1), punkt początkowy linii łączącej (2) i wpisz 402 (3). Następnie kliknij w dowolnym miejscu w obszarze rysunku (4), aby zakończyć polecenie.

Podobnie jak w przypadku stylów wymiarów i tekstu od stylów wielolinii odniesienia zależy rodzaj oraz wygląd umieszczanego obiektu. Najlepiej zacząć od utworzenia kilku spersonalizowanych stylów wielolinii odniesienia.

Tworzenie stylu objaśnienia typu chmurka

  1. Na karcie Narzędzia główne kliknij panel rozwijany Adnotacja, a następnie kliknij trzecią kontrolkę na liście.
  2. W Menedżerze stylów wielolinii odniesienia kliknij przycisk Nowy (1), nadaj nowemu stylowi nazwę Objaśnienie typu chmurka (2) i kliknij przycisk Kontynuuj (3).
  3. Następnie kliknij kartę Zawartość (1), zmień rodzaj wielolinii odniesienia z Wtekst na Blok (2). W polu Blok źródłowy wybierz opcję Okrąg (3). Następnie kliknij przycisk OK.
  4. W Menedżerze stylów wielolinii odniesienia kliknij przycisk Zamknij.

    Nowy styl wielolinii odniesienia zostanie automatycznie ustawiony jako bieżący.

Wskazówka: Aby udostępnić dodatkowe style wielolinii odniesienia we wszystkich nowych rysunkach, należy je utworzyć w pliku szablonu rysunku (DWT).

Tworzenie wielolinii odniesienia

  1. Użyj polecenia PROSTOK, aby utworzyć mały prostokąt.
  2. Na wstążce kliknij kartę Opisz i odszukaj panel Linie odniesienia. Na panelu widać, że bieżącym stylem wielolinii odniesienia jest styl Objaśnienie typu chmurka.
    Wskazówka: Jeśli tworzysz wiele wielolinii odniesienia, w celu szybszej pracy korzystniejsze może być korzystanie z panelu wstążki Linie odniesienia.
  3. Kliknij narzędzie Wielolinia odniesienia po lewej stronie panelu Linie odniesienia.
  4. Korzystając z trybu lokalizacji względem obiektu Punkt końcowy, kliknij róg prostokąta, aby określić położenie grotu strzałki (1). Następnie kliknij miejsce docelowe linii odniesienia (2), wpisz literę lub cyfrę w oknie dialogowym Edycja atrybutów (3) i kliknij przycisk OK.
  5. Powtórz poprzedni krok, aby utworzyć element podobny do pokazanego na rysunku:
Uwaga: Polecenie WIELOLODN udostępnia opcje zmiany kolejności wprowadzania polecenia — bez względu na to, czy jako pierwsze chcesz określić położenie grotu strzałki, miejsce docelowe, czy zawartość.

Modyfikowanie wielolinii odniesienia

  1. Wybierz i przesuń prostokąt.

    Zwróć uwagę, że położenie grotów strzałek i linii odniesienia zmienia się podczas przesuwania prostokąta. Domyślnie wielolinie odniesienia są skojarzone, gdy groty strzałek są połączone z trybami lokalizacji.

  2. Kliknij narzędzie Dodaj linię odniesienia i wybierz górną wielolinię odniesienia (1). Określ inny punkt na prostokącie (2).
  3. Kliknij narzędzie Wyrównaj wielolinii odniesienia, a następnie wybierz trzy wielolinie odniesienia.
  4. Wybierz najwyżej położoną wielolinię odniesienia jako odniesienie dla wyrównania.
  5. Włącz tryb Orto klawiszem [F8] i kliknij położenie punktu znajdujące się pionowo w górze lub w dole, aby wyrównać pionowo wielolinie.

    Wybrane wielolinie odniesienia zostaną wyrównane pionowo, jak pokazano na rysunku.

Dostosowanie wielolinii za pomocą uchwytów

  1. Wybierz dolną wielolinię odniesienia, aby wyświetlić jej uchwyty.
  2. Przesuń kursor na środkowy uchwyt wierzchołka, aby wyświetlić menu opcji.
  3. Kliknij opcję Rozciągnij, a następnie kliknij nową lokalizację nieco wyżej.
    Wskazówka: Zamiast klikać opcję Rozciągnij, możesz kliknąć sam uchwyt, aby zmienić położenie wielolinii odniesienia.
  4. Poeksperymentuj z innymi uchwytami na obu końcach wielolinii odniesienia, aby poznać ich działanie.
    Uwaga: Zmiana położenia uchwytu na końcu grotu strzałki kończy jego skojarzenie. W celu ponownego skojarzenia grotu strzałki z lokalizacją uchwytu obiektu należy użyć polecenia DIMREASSOC.

Eksperymentuj z ustawieniami i blokami

Poeksperymentuj z różnymi ustawieniami stylu wielolinii odniesienia. Przykładowo możesz łatwo utworzyć styl wielolinii odniesienia podobny do poniższego, zmieniając ustawienia stylu Objaśnienie typu chmurka.

  1. Otwórz Menedżera stylów wielolinii odniesienia

    Możesz to również zrobić bezpośrednio na karcie Opisz panelu Linie odniesienia, jak pokazano na rysunku.

  2. Wybierz styl i kliknij przycisk Zmień.
  3. Na karcie Struktura linii odniesienia odznacz opcję Automatycznie dołącz linię łączącą.
  4. Na karcie Zawartość kliknij menu rozwijane Zamocowanie i wybierz opcję Punkt wstawienia.
  5. Kliknij przycisk OK, a następnie przycisk Zamknij.
  6. Utwórz kilka nowych obiektów wielolinii odniesienia ze zmodyfikowanym stylem.

Możesz także utworzyć styl wielolinii odniesienia etykiet siatki kolumn podobny do następującego:

  1. Otwórz ponownie Menedżera stylów wielolinii odniesienia i kliknij przycisk Nowy (1).
  2. W oknie dialogowym Tworzenie nowego stylu wielolinii odniesienia, w polu Rozpocznij z: wybierz w razie potrzeby opcję Objaśnienie typu chmurka (2), wpisz Etykiety kolumn jako nazwę nowego stylu (3) i kliknij przycisk Kontynuuj (4).
  3. Na karcie Format linii odniesienia wybierz wartość Brak dla symbolu grotu strzałki.
  4. Kliknij przycisk OK, a następnie Zamknij. Po włączeniu opcji Orto [F8] utwórz kilka etykiet kolumn, używając nowego stylu wielolinii odniesienia.

Poeksperymentuj z innymi ustawieniami i utwórz własne definicje bloków z atrybutami. Przekonasz się, że funkcja wielolinii odniesienia to skuteczna metoda tworzenia i zarządzania różnymi etykietami i objaśnieniami.

Tworzenie i modyfikowanie obiektów wielolinii odniesienia

Poniżej podano najczęściej używane polecenia i zmienne systemowe związane z tworzeniem i modyfikowaniem obiektów i stylów wielolinii odniesienia.

Polecenie Opis
WIELOLODN Tworzy linię łączącą opis z elementem
WIELOLODNDOPASUJ Ustawia wybrane obiekty wielolinii odniesienia jako współliniowe i wprowadza odstępy
WIELOLODNZBIERZ Organizuje wybrane wielolinie odniesienia zawierające bloki w wiersze lub kolumny i wyświetla wynik za pomocą jednej linii odniesienia
WIELOLODNEDYCJA Dodaje linie odniesienia do obiektu wielolinii odniesienia lub je z niego usuwa
WIELOLODNSTYL Tworzy i modyfikuje style wielolinii odniesienia
Zmienna systemowa Opis Wartość domyślna Miejsce zapisu
GALLERYVIEW Określa typ podglądu w rozwijanych galeriach wstążki, łącznie z rozwijaną listą stylów wielolinii odniesienia 1 Rejestr
MLEADERSCALE Ustawia globalny współczynnik skali stosowany do obiektów wielolinii odniesienia 1.0000 Rysunek

Więcej informacji o tych poleceniach i powiązanych zmiennych systemowych zawiera system pomocy programu AutoCAD. Można eksperymentować z ustawieniami zmiennych systemowych, aby odnaleźć te, które najbardziej odpowiadają osobistym potrzebom.