|
|
Para cada polia |
|
F 2 - F 1 + F p = 0 |
|
|
|
|
|
|
|
|
|
Para a polia motriz
|
|
v ≤ v máx |
|
|
f b ≤ f máx |
F c = mv 2
F Tmáx = k 1 F p + F c
F 1 = F tmáx
F 2 = F 1 - F p
Para polias conduzidas e intermediárias individuais
índice i da polia
F Pi = P xi F p
F 1i = F 2i-1
F 2i = F 1i + F p i
onde:
para uma polia síncrona
para uma polia plana
Para toda a transmissão da correia
A tensão de instalação requerida da correia é determinada a partir das forças que atuam sobre a polia motriz da forma a seguir
Exemplo de transmissão de potência com polia intermediária
|
Polia motriz |
Polia plana |
Polia conduzida |
|
P x1 = 1 |
P x2 = 0 |
P x3 = 1 |
|
|
|
F P3 = P x3 F p |
|
|
|
|
|
|
|
|
|
|
F 12 = F 21 |
|
|
|
F 22 = F 12 + F p2 = F 12 |
|
|
F c = m v 2 |
|
|
|
F Tmáx = k 1 F p + F C |
- |
F 13 = F 22 |
|
F 11 = F Tmáx |
- |
F 23 = F 13 + F p3 = F 11 |
|
F 21 = F 11 - F p |
- |
|
|
|
- |
- |
Significado das variáveis utilizadas:
|
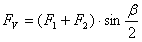
F p |
Desmoldagem efetiva [N] |
|
F 1 |
Tensão da correia no lado de entrada da polia especificada [N] |
|
F 2 |
Tensão de correia no lado de saída da polia especificada [N] |
|
z |
Número de dentes da polia especificada/Número de dentes da correia [-] |
| β |
Arco de contato/ângulo do dente de inclinação lateral [gr] |
|
P |
potência para transmitir [W] |
|
P R |
Taxa de potência da correia para um dado layout de transmissão [W] |
|
c L |
Fator de serviço [-] |
| β |
Arco de contato [gr] |
|
T |
Torque em uma polia especificada [Nm] |
|
n |
Velocidade da polia especificada [rpm] |
|
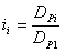
D p |
Diâmetro do flanco da polia [m] |
|
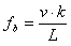
v |
Velocidade da correia [m/s] |
|
k |
Número de polias na transmissão da correia [-] |
|
L |
Comprimento de passagem da correia [m] |
|
P |
potência para transmitir [W] |
|
m |
Peso específico de correia para determinada largura [Kg/m] |
|
k 1 |
Fator de tensão da correia [-] |
|
F p |
Desmoldagem efetiva [N] |
|
F c |
Força centrífuga [N] |
|
F t |
Tensão mínima de instalação da correia [N] |
|
P xi |
Taxa de potência da polia especificada [-] |
|
D pi |
Diâmetro do flanco da polia [m] |
|
i |
Taxa de transmissão (taxa de velocidade) da polia especificada [-] |
|
T i |
Torque em uma polia especificada [Nm] |
| η |
Eficiência [-] |
|
p b |
Folga circular [m] |
|
D |
Diâmetro nominal da polia plana [m] |
|
H |
Altura da correia [m] |
|
h T |
Altura do dente da correia [m] |
|
a |
Deslocamento da linha de passo [m] |