Exibia listas de qualquer tipo de elemento em um projeto.
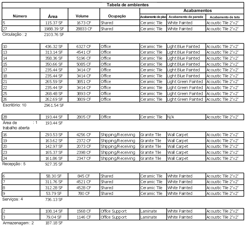
Uma tabela é uma exibição tabular de informações extraídas das propriedades dos elementos em um projeto. Uma tabela pode listar cada instância do tipo de elemento que se está tabulando ou retrair múltiplas instâncias em uma única linha, com base no critério de agrupamento da tabela.

É possível criar uma tabela em qualquer estágio do processo do projeto. À medida em que alterações são feitas no projeto e afetam a tabela, esta é automaticamente atualizada para refletir as alterações. É possível adicionar uma tabela somente para uma folha de desenho.
É possível exportar uma tabela para outro programa de software, como um programa de planilha.
Todas as tabelas são automaticamente atualizadas quando o projeto é modificado. Por exemplo, se uma parede é movida, os pés quadrados são atualizados em uma tabela de ambiente de acordo.
Quando as propriedades de componentes de construção no projeto são alteradas, a tabela associada é atualizada automaticamente.
Por exemplo, seria possível selecionar uma porta no projeto e alterar as suas propriedades de fabricante. A tabela de portas iria refletir a alteração na propriedade de fabricante.
É possível criar vários tipos de tabelas:
Existem diversas escolhas disponíveis para formatar a aparência da tabela. É possível
painel Janela
painel Tabela