В проектировании объектов гражданского строительства для построения постепенных криволинейных переходов и виражей между прямыми участками и круговыми кривыми, а также между двумя круговыми кривыми различной кривизны, используются различные переходные кривые.
По отношению к другим прямым участкам и кривым каждая переходная кривая может быть входящей или исходящей.
При проектировании и разметке переходных кривых часто используются такие параметры как L (длина переходной кривой) и R (радиус круговой кривой).
На следующей иллюстрации показаны различные параметры переходной кривой:
| Параметр переходной кривой | Описание |
| i1 | Центральный угол переходной кривой L1, т.е. собственно угол переходной кривой. |
| i2 | Центральный угол переходной кривой L2, т.е. собственно угол переходной кривой. |
| T1 | Общая длина касательной от ТП до TS. |
| T2 | Общая длина касательной от ТП до ST. |
| X1 | Длина касательной от TS, измеренная в SC. |
| X2 | Длина касательной от ST, измеренная в CS. |
| Y1 | Расстояние смещения касательной от TS, измеренное в SC. |
| Y2 | Расстояние смещения касательной от CS, измеренное в ST. |
| P1 | Смещение исходной касательной в точке PC сместившейся кривой. |
| P2 | Смещение исходной касательной в точке PT сместившейся кривой. |
| K1 | Абсцисса PC, сдвинутой относительно TS. |
| K2 | Абсцисса PT, сдвинутой относительно ST. |
| LT1 | Длинная касательная входящей переходной кривой. |
| LT2 | Длинная касательная исходящей переходной кривой. |
| ST1 | Короткая касательная входящей переходной кривой. |
| ST2 | Короткая касательная исходящей переходной кривой. |
| Другие параметры переходных кривых | |
| A1 | Значение А равно квадратному корню из длины переходной кривой, умноженной на радиус. Это мера пологости кривой. |
| A2 | Значение А равно квадратному корню из длины переходной кривой, умноженной на радиус. Это мера пологости кривой. |
Формула
Составные переходные кривые служат для создания перехода между двумя круговыми кривыми различного радиуса. Как и простые переходные кривые, они обеспечивают непрерывность функции кривизны и являются методом создания плавного перехода в вираже.
В Autodesk Civil 3D поддерживается использование нескольких типов переходных кривых, однако наиболее часто используются переходные кривые типа «клотоида». Переходная кривая типа «клотоида» используется в проектировании автомобильных и железных дорог инженерами во всем мире.
Функция кривизны клотоиды, впервые исследованная швейцарским математиком Леонардом Эйлером, представляет собой линейную функцию, выбранную таким образом, что в месте соединения переходной кривой с прямолинейным участком кривизна как функция длины равна нулю. Далее кривизна возрастает линейно до тех пор, пока не достигнет кривизны прилегающей кривой в точке соединения переходной кривой и кривой.
Такая трасса обеспечивает непрерывность функции положения и ее первой производной (местного азимута), подобно тому как это происходит в случае прямого участка и кривой в точке начала кривой (PC). Однако в отличие от простой кривой здесь обеспечивается также непрерывность второй производной (местной кривизны), приобретающей значение при высоких скоростях.
Формула
Переходные кривые типа «клотоида» могут быть выражены как:
Пологость переходной кривой:
Общий угол, стягиваемый переходной кривой:
Длина касательной, выходящей из точки соединения прямого участка и переходной кривой, измеренная в точке соединения переходной кривой и кривой.
Расстояние смещения касательной, выходящей из точки соединения прямого участка и переходной кривой, измеренная в точке соединения переходной кривой и кривой.

Вместо клотоиды на переходе можно использовать переходную кривую Блосса с параболой пятой степени. Преимущество этой переходной кривой в сравнении с клотоидой заключается в том, что сдвиг P здесь меньше, поэтому переход получается более длинным, как и выступ переходной кривой (K). Этот фактор имеет важное значение при проектировании рельсовых путей.
Формула
Переходные кривые Блосса можно выразить как:

Другие распространенные выражения
Длина касательной, выходящей из точки соединения прямого участка и переходной кривой, измеренная в точке соединения переходной кривой и кривой.

Расстояние смещения касательной, выходящей из точки соединения прямого участка и переходной кривой, измеренная в точке соединения переходной кривой и кривой:
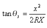
Эти кривые характеризуются согласованным дирекционным углом кривизны; они применяются для перехода между прямыми участками с отклонением 0 и 90 градусов. Однако синусоидальные кривые не имеют широкого применения, так как они более пологи, чем истинная спираль, из-за чего их труднее представлять в табличной форме и размечать.
Формула
Синусоидальные кривые могут быть представлены в виде следующего выражения:

где R — радиус кривизны в любой заданной точке.
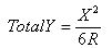
Уравнение такой формы часто используется в проектировании железных дорог в Японии. Применение этой кривой целесообразно в ситуациях, при которых требуется эффективно изменить кривизну при малых (с точки зрения динамических характеристик транспортного средства) углах отклонения.
Формула
Кривые типа «убывающая половина синусоиды с прямым участком» можно выразить как:
где
и X — это расстояние от начальной точки до любой точки кривой, измеряемое вдоль (удлиненного) начального прямого участка; X — общее значение Х в конце кривой перехода.
Другие распространенные выражения
Длина касательной, выходящей из точки соединения прямого участка и переходной кривой, измеренная в точке соединения переходной кривой и кривой.

Расстояние смещения касательной, выходящей из точки соединения прямого участка и переходной кривой, измеренная в точке соединения переходной кривой и кривой:

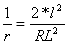
Кубические параболы сходятся не так быстро, как кубические переходные кривые, что делает их весьма востребованными при проектировании железных дорог и автострад.
Формула
Минимальный радиус кубической параболы
Радиус в любой точке кубической параболы:
Кубическая парабола достигает минимального значения r при:
Поэтому
Радиус кубической параболы убывает от бесконечности до значения
при 24 градусах, 5 минутах 41 секунде, а затем начинает возрастать снова. Это делает кубические параболы бесполезными при отклонениях, превышающих 24 градуса.
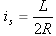
Этот переход был разработан в соответствии с требованиями, действующими в Японии. Для ситуаций, в которых требуется применить малый угол отклонения или большой радиус, разработано несколько аппроксимаций клотоиды. Одной из таких аппроксимаций, используемой при проектировании в Японии, является кубическая кривая (JP).
Формула
Кубические кривые могут быть выражены как:
где Х = длина касательной, выходящей из точки соединения прямого участка и переходной кривой, измеренная в точке соединения переходной кривой и кривой
Эту формулу можно также выразить следующим образом:

где
обозначает центральный угол переходной кривой (показанный как i1 и i2 на иллюстрации)
Другие распространенные выражения:
Длина касательной, выходящей из точки соединения прямого участка и переходной кривой, измеренная в точке соединения переходной кривой и кривой.

Расстояние смещения касательной, выходящей из точки соединения прямого участка и переходной кривой, измеренная в точке соединения переходной кривой и кривой:
Это тип кубической параболы, измененной в соответствии с требованиями штата Новый Южный Уэльс.
Формула
Кубическую параболу NSW можно выразить в следующем виде:
где:
Φ = угол между конечной радиальной линией в R и линией, перпендикулярной исходному прямому участку
R = радиус кривой
Xc = общее значение X для заданной переходной кривой
Для би-квадратичных переходных кривых (Шрамма) характерны низкие значения вертикального ускорения. Они состоят из двух парабол второй степени, радиусы которых изменяются как функция длины кривой.
Формула простой кривой
Кривизна первой параболы:
при
Кривизна второй параболы:
при
Данная кривая определяется пользовательской длиной (L) переходной кривой.
Формулы составной кривой
Кривизна первой параболы:
при
Кривизна второй параболы:
при