Длина цепи задается по количеству звеньев цепи и шагу цепи. Траектория цепного привода определяется по положению звездочки и необходимому направлению движения.
В алгоритме расчета длины цепи используются значения диаметра делительной окружности звездочек. Диаметр делительной окружности для звездочки роликового цепного привода или натяжного шкива рассчитывается по следующим формулам.
Для достижения необходимой длины цепи соответствующим образом настраивается положение скользящей звездочки. Чтобы найти необходимое положение скользящей звездочки, расчет производится на основе принципов линейной алгебры с итерационным подходом.
При расчете длины цепи учитывается, что траектория строится из линейных сегментов в соответствии с длиной шага цепи, а дуги заменяются многоугольниками.
Делительные диаметры
![]() |
|
|
Где: |
||
D P |
Средний диаметр |
|
p |
шаг цепи |
|
z |
количество зубьев звездочки |
|
D p = D + D r |
|
Где: |
||
D P |
Средний диаметр |
|
D |
Номинальный диаметр натяжного шкива |
|
D r |
максимальный диаметр ролика цепи |
Пример цепного привода с двумя звездочками
Необходимое количество звеньев цепи для нужного межосевого расстояния
Необходимое количество звеньев цепи округляется до ближайшего четного или нечетного числа, а затем фактическое межосевое расстояние определяется как
C = F p [ 2 X - (z 1 + z 2 )]
Где:
|
|
|
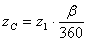
Угол касания определяется как
|
Количество зубьев малой звездочки при контакте
|
Значение используемых переменных:
C 0 |
Необходимое межосевое расстояние [м] |
C |
Фактическое межосевое расстояние [м] |
p |
Шаг цепи [м] |
z 1 |
Количество зубьев ведущей звездочки [-] |
z 2 |
Количество зубьев ведомой звездочки [-] |
D P1 |
Диаметр делительной окружности ведущей звездочки [м] |
D P2 |
Диаметр делительной окружности ведомой звездочки [м] |
Х 0 |
Необходимое количество звеньев цепи [-] |
β |
Угол касания [град] |