Моделирование ветра не приводит к получению полностью устойчивых результатов, так как это изменение динамического процесса во времени.
Чтобы решить эту проблему, программа измеряет полученную сходимость усилий за определенный период времени.
.
.
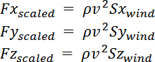
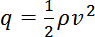
. Результирующие силы зависят от размера модели. Для корректного масштабирования результирующих сил в программе используется динамическое давление
и значения поверхности
,
и
.
Поверхностные величины используются для масштабирования соответствующих сил.
Этот подход позволяет нейтрализовать нарушения пропорций модели в направлениях ветра x, y и z.
— динамическое давление в Паскалях;
— плотность жидкости в кг/м3;
— скорость жидкости в м/с.
соответствует той области, которую покрывает проекция всех треугольников модели на плоскости, перпендикулярной направлению ветра X.
соответствует той области, которую покрывает проекция всех треугольников модели в плоскости, перпендикулярной направлению ветра Y.
соответствует той области, которую покрывает проекция всех треугольников модели в плоскости, перпендикулярной направлению ветра Z. Масштабируемые силы рассчитываются следующим образом:

Для измерения сходимости общих сил за определенный период времени результирующие силы
,
и
рассчитываются и сохраняются для количества шагов n, а затем следующим образом вычисляется максимальное изменение на данный момент:

Где
,
и
являются сохраненными значениями
,
и
для данного шага, а при i = 1 для n.
Далее максимальные изменения силы масштабируются по
,
и
и отображаются в процентах.
Окончательные метрические единицы — это максимальные значения этих трех масштабированных значений:

Где
= 0,5%, т.е. коэффициент отклонения нагрузки по умолчанию.
n — число шагов в моделировании, для которых
,
и
сохраняются в целях сравнения с текущим шагом. По умолчанию значение n = 10.