Процесс расчета коэффициента K выполняется следующим образом.
- Почвы под фундаментом делятся на слои в 0,2 м толщины. Если толщина слоев меньше 0,2 м, расчет выполняется для всего слоя.
- Каждый слой n анализируется на основе значений вычислений глубины в центре слоя Zn.
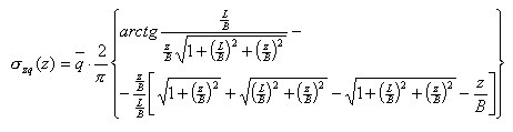
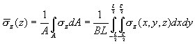
- Среднее напряжение (σ(z)) на глубине Zn под фундаментом, вызванное внешними нагрузками, весом фундамента и весом выше расположенного грунта, определяется по приведенной формуле:
где
B — ширина прямоугольника (фундамента);
L — длина прямоугольника (фундамента).
Приведенная формула описывает среднее значение напряжений под прямоугольной областью. Эта формула получена из уравнения Буссинеска, которое описывает распределение напряжения в упругом полупространстве, возникающего от действия сосредоточенной силы.
Использование принципа суперпозиции позволяет вычислить напряжение в точке P(0;0;z), возникающее от действия равномерной нагрузки, распределенной по произвольной площади:
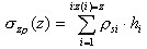
В литературе известны решения приведенных выше уравнений для точек контура прямоугольной области, для точек под центром прямоугольной области, а также для среднего значения под прямоугольной областью. Среднее значение напряжения под прямоугольной областью определяется приведенной ниже формулой, которая после интегрирования приобретает форму, используемую в алгоритме расчета.
- Природное напряжение в грунте на глубине Zn , вызванное весом грунта, лежащего выше анализируемого слоя, определяется так:
Прим.: В случае появления грунтовых вод в расчетах учитывается Архимедова сила и вес воды.
- Дополнительные напряжения в грунте, учитываемые при расчете осадки, представляют собой разность между напряжениями, вызванными внешней нагрузкой, и природными напряжениями в грунте.
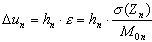
- Расчеты средней осадки слоя n осуществляются на основе свойств грунта:
где
M0n — начальный (без учета эффекта релаксации), одометрический (полученный на аппарате трехосного сжатия) модуль сжатия грунта в слое n. Соотношение между модулем Юнга и одометрическим модулем сжатия выражается формулой:
Прим.: Если коэффициент Пуассона для данного типа грунта не задан, база данных грунтов для отдельных стран может содержать значение E = M, которое соответствует абсолютной сжимаемости материала (n = 0,0); типичным значением коэффициента Пуассона является значение 0,2 ÷ 0,3 для не связанных грунтов (величина 0,2 относится к грубозернистым грунтам таким, как гравий, величина 0,3 относится к мелкозернистым грунтам таким, как пыль) и 0,25 ÷ 0,37 для связанных грунтов (величина 0,25 относится к высоко консолидированным грунтам, величина 0,37 — к илистым грунтам).
Общая осадка грунта представляет собой сумму значений осадок отдельных слоев.
Расчет выполняется до достижения уровня Zn:
- не менее 1 (м).
- пока не будет достигнута глубина, на которой дополнительные напряжения составляют менее 25% от естественных напряжений в грунте.
- для которого увеличение слоя усадки ∆un в следующем слое менее чем 0,1% от общей усадки.
- не более 10 (м).
Рассчитанный коэффициент жесткости эквивалентен K = 1 / ∆u. Коэффициент жесткости K соответствует единице нагрузке на поверхность.