Для получения желаемых результатов при построении сплайна рекомендуется использовать более простые линии (или комбинации линий).
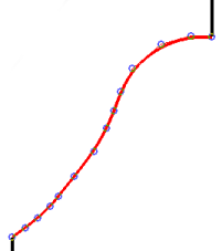
Например, требуется создать линию, показанную на следующей иллюстрации.

Для ее построения можно использовать комбинацию дуг либо создать сплайн. Построение линий с помощью сплайна создает дополнительную нагрузку на процессор, поэтому там, где это возможно, рекомендуется использовать комбинации линий и дуг.
Если все же необходимо использовать сплайн, для уменьшения нагрузки на процессор следует использовать как можно меньше контрольных точек. На следующей иллюстрации показан сплайн, при создании которого использовалось большое количество контрольных точек (синие точки).

Как показано на иллюстрации, такой же сплайн можно построить, используя меньшее количество контрольных точек.
