External Compressible Flow

External compressible flow can be classified into two categories:

Unlike internal flows, both types involve flow that passes over and around a device (instead of through it). Examples include flow over a wing, missile, or aircraft nacelle.

The strategies for solving open-air and wind tunnel analyses differ slightly in the domain size and typical inlet condition.

Compressible Open-Air Flow

For open air applications, the solution domain is not defined as part of the model (unlike a wind-tunnel). There are some basic guidelines that drive the size of the domain based on the dimensions of the device. These are only guidelines, and are subject to some variability depending on the circumstances.

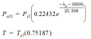
-1000 ft < hp < 36,000 ft:

hp = altitude in feet;

Palt = static pressure at altitude

Talt = static temperature at altitude

Psl = pressure at sea level

Tsl = temperature at sea level

36,000 ft < hp < 65,000 ft:

If not solving for heat transfer, be sure to specify the total temperature on the Solve task dialog. Total Temperature is computed using this equation:

Compressible Wind-Tunnel Flow

The inlet is typically fed from a blow-down tank.

Angle of Attack

If the object has an angle of attack relative to the flow, it is better to re-orient the calculation domain instead of the object. The domain orientation should be that the free-stream velocity and the domain sides are parallel:

Material Environment

For all cases, select Variable on the Material Environment dialog:

  1. On the Material quick edit dialog, click Edit on the Environment line. (Alternatively, right click on the material name branch in the Design Study bar.)
  2. Select Variable on the Material Environment dialog.

Simulation Recommendations

We recommend these techniques to improve accuracy of the drag calculation:

Related Topics

Internal Compressible Flow

Example Compressible Flow Analysis